Abstract:The fundamental frequency is one of the parameters that define power quality. Correctly determining this parameter under the conditions that prevail in modern power grids is crucial. Diagnostic purposes often require an efficient estimation of this parameter within short time windows. Therefore, this article presents the results of numerical simulation studies that allow the assessment of errors in various fundamental frequency estimation methods, including the standard IEC 61000-4-30 method, when the analyzed signal has a form similar to that found in modern power grids. For the purposes of this study, a test signal was adopted recreating the states of the power grid, including the simultaneous occurrence of voltage fluctuations and distortions. Conclusions are presented based on conducted research.
Abstract:Low-frequency disturbances of power quality are one of the most common disturbances in the power grid. These disturbances are most often the result of the impact of power electronic and energy-saving devices, the number of which is increasing significantly in the power grid. Due to the simultaneous operation of various types of loads in the power grid, various types of simultaneous disturbances of power quality occur, such as voltage fluctuations and distortions. Therefore, there is a need to analyze this type of simultaneous interaction. For this purpose, a special and complementary laboratory setup has been prepared, which allows for the examination of actual states occurring in modern power networks. Selected research results are presented for this laboratory setup, which determine its basic properties. Possible applications and possibilities of the laboratory setup are presented from the point of view of current challenges.
Abstract:Voltage fluctuations are one of the most common low-frequency disturbances of power quality. Diagnostics of these disturbances are a complex process because voltage fluctuations affect different loads in different ways. Therefore, there is no measure of power quality that allows for the complementary assessment of severity of this disturbance, allow for the identification of sources of voltage fluctuations, and post-factum investigation of their effects. Among the currently used measures of voltage fluctuations, voltage fluctuation indices have the greatest diagnostic capabilities. Many preliminary studies also show the potential possibility of recreation of voltage fluctuations, including: based on voltage fluctuation indices. This paper presents the results of research on methods of recreation of voltage fluctuations from voltage fluctuation indices. The research carried out included a set of data obtained in a real power grid. Moreover, the impact of the discrimination period on the accuracy of recreation of voltage fluctuations has been assessed. The presented research results show, on the one hand, the usefulness of voltage fluctuation indices in the process of recreation of voltage fluctuations and, on the other hand, further challenges in the recreation of voltage fluctuations.
Abstract:The paper presents an innovative approach to the identification of sources of voltage fluctuations in power networks, also considering the localization understood as the indication of supply points of disturbing loads. The presented approach considers disturbance sources that change their operating state with a frequency higher than the power frequency. Implementation of the proposed solution is also proposed in such a way that its implementation in the smart meter infrastructure allows for automatic localization of disturbance sources without additional expert knowledge. In the proposed approach, the modulation signal is estimated using a carrier signal estimator, which allows for the estimation of modulation signal with a frequency higher than the power frequency. The estimated modulating signal is decomposed into component signals associated with individual disturbing loads by decomposition by approximation using pulse waves. The decomposition process allows for the estimation of selected parameters associated with disturbing loads, on the basis of which the assessment of propagation of voltage fluctuations associated with the impact of individual disturbance sources is performed, which allows for the indication of their supply point. The proposed approach was verified in numerical simulation studies using MATLAB/SIMULINK and in experimental studies carried out in a real low-voltage power grid.
Abstract:Voltage fluctuations are common disturbances in power grids. Initially, it is necessary to selectively identify individual sources of voltage fluctuations to take actions to minimize the effects of voltage fluctuations. Selective identification of disturbing loads is possible by using a signal chain consisting of demodulation, decomposition, and assessment of the propagation of component signals. The accuracy of such an approach is closely related to the applied decomposition method. The paper presents a new method for decomposition by approximation with pulse waves. The proposed method allows for an correct identification of selected parameters, that is, the frequency of changes in the operating state of individual sources of voltage fluctuations and the amplitude of voltage changes caused by them. The article presents results from numerical simulation studies and laboratory experimental studies, based on which the estimation errors of the indicated parameters were determined by the proposed decomposition method and other empirical decomposition methods available in the literature. The real states that occur in power grids were recreated in the research. The metrological interpretation of the results obtained from the numerical simulation and experimental research is discussed.




Abstract:Voltage fluctuations are common disturbances in power grids, therefore the effective and selective process of identification and localization of individual voltage fluctuations sources is necessary for the minimization of such disturbances. Selectivity in the process of identification and localization disturbing loads is possible by the use cascade of blocks: demodulation, decomposition and propagation assessment. The effectiveness of this approach is closely related to the used method of decomposition. The paper presents the problem of decomposition process for the selected method of selective identification and localization of voltage fluctuation sources, in which the algorithm of enhanced empirical wavelet transform (EEWT) is used as the decomposition method. The paper presents selected research results from the real power grid, for which the result of selected approach causes mistakes in the process of identification and localization of voltage fluctuations sources. The potential causes of such mistakes related to the decomposition process are discussed on the basis of obtained research results.




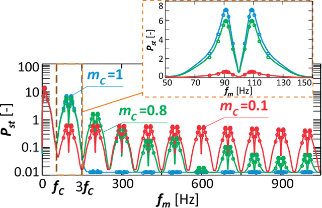
Abstract:The paper presents IEC flickermeter measurement results for voltage fluctuations modelled by amplitude modulation of distorted supply voltage. The supply voltage distortion caused by electronic and power electronic devices in the "clipped cosine" form is assumed. This type of supply voltage distortion is a common disturbance in low voltage networks. Several arbitrary distorted waveforms of the modulating signal with different modulation depth and modulating frequency up to approx. 1 kHz are selected to determine the dependence of severity of voltage fluctuation on their shape. The paper mainly presents the dependence of voltage fluctuation severity with a frequency greater than 3fc, where fc is the power frequency. The voltage fluctuation severity and the dependencies associated with it have been determined on the basis of numerical simulation studies and experimental laboratory tests.