



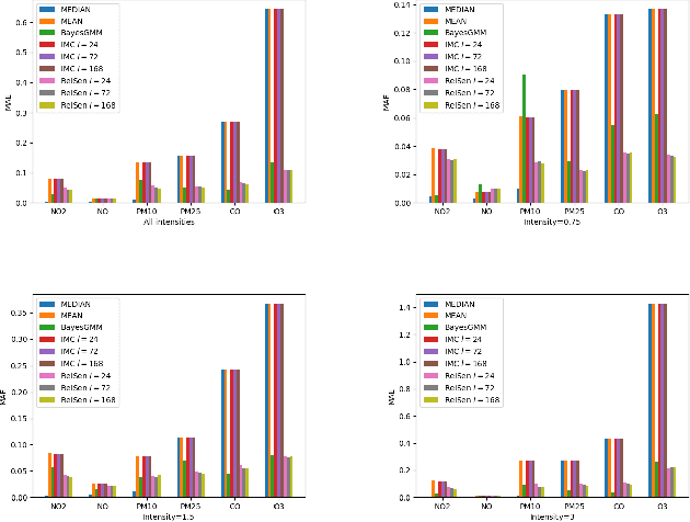
Abstract:Recent advances in the Internet of Things (IoT) technology have led to a surge on the deployment of sensors everywhere. As a result, information obtained from sensors has become an important source for decision making in our daily life. Unfortunately, in most sensing applications, sensors are known to be error-prone due to various reasons and the measurements from sensors can also become unreliable at any unexpected time. Therefore, apart from the states of physical processes under measurement, we believe it is highly important to monitor the reliability of sensors as well. In this work, we propose RelSen: an optimization-based framework for simultaneous sensor reliability monitoring and process state estimation. In RelSen we formulate both the reliability scores of sensors and the states of monitored processes as variables to learn via an optimization problem only given the observed measurements from sensors. The optimization problem is efficiently solved by utilizing the redundancy of sensors, the correlation between multiple process states and the smoothness of each individual process. Furthermore, we apply RelSen for sensor reliability monitoring and process state estimation in an outdoor air pollution monitoring system and the condition monitoring system for a cement rotary kiln. Experimental results show that our framework can timely identify unreliable sensors and achieve higher accuracy than several baseline methods in process state estimation under three types of commonly observed sensor faults.