Abstract:The white paper focuses on several candidate technologies that could play a crucial role in the development of 6G systems. Two of the key technologies explored in detail are Orthogonal Time Frequency Division Multiplexing (OTFDM) waveform and Structural MIMO (S-MIMO).




Abstract:Reconfigurable intelligent surface (RIS) is considered as key technology for improving the coverage and network capacity of the next-generation cellular systems. By changing the phase shifters at RIS, the effective channel between the base station and user can be reconfigured to enhance the network capacity and coverage. However, the selection of phase shifters at RIS has a significant impact on the achievable gains. In this letter, we propose a beamforming design for the RIS-assisted cellular systems. We then present in detail the system-level modelling and formulate a 3-dimension channel model between the base station, RIS, and user, to carry out system-level evaluations. We evaluate the proposed beamforming design in the presence of ideal and discrete phase shifters at RIS and show that the proposed design achieves significant improvements as compared to the state-of-the-art algorithms.




Abstract:Non-orthogonal multiple access (NOMA) is recognized as a promising radio access technique for the next generation wireless systems. We consider a practical downlink NOMA system with imperfect successive interference cancellation and derive bounds on the power allocation factors for a given number of users in each cluster. We propose a minimum signal-to-interference-plus-noise ratio difference criterion between two successive NOMA users in a cluster of users to achieve higher rates than an equivalent orthogonal multiple access (OMA) system. We then propose multi-user clustering and power allocation algorithms for downlink NOMA systems. Through extensive simulations, we show that the proposed algorithms achieve higher rates than the state-of-the-art algorithms.
Abstract:Non-orthogonal multiple access (NOMA) is considered as one of the predominant multiple access technique for the next-generation cellular networks. We consider a 2-user pair downlink NOMA system with imperfect successive interference cancellation (SIC). We consider bounds on the power allocation factors and then formulate the power allocation as an optimization problem to achieve {$\alpha$-Fairness} among the paired users. We show that {$\alpha$-Fairness} based power allocation factor coincides with lower bound on power allocation factor in case of perfect SIC and $\alpha > 2$. Further, as long as the proposed criterion is satisfied, it converges to the upper bound with increasing imperfection in SIC. Similarly, we show that, for $0<\alpha<1$, the optimal power allocation factor coincides with the derived lower bound on power allocation. Based on these observations, we then propose a low complexity sub-optimal algorithm. Through extensive simulations, we analyse the performance of the proposed algorithm and compare the performance against the state-of-the-art algorithms. We show that even though Near-Far based pairing achieves better fairness than the proposed algorithms, it fails to achieve rates equivalent to its orthogonal multiple access counterparts with increasing imperfections in SIC. Further, we show that the proposed optimal and sub-optimal algorithms achieve significant improvements in terms of fairness as compared to the state-of-the-art algorithms.




Abstract:Non-orthogonal multiple access (NOMA) is considered a key technology for improving the spectral efficiency of fifth-generation (5G) and beyond 5G cellular networks. NOMA is beneficial when the channel vectors of the users are in the same direction, which is not always possible in conventional wireless systems. With the help of a reconfigurable intelligent surface (RIS), the base station can control the directions of the channel vectors of the users. Thus, by combining both technologies, the RIS-assisted NOMA systems are expected to achieve greater improvements in the network throughput. However, ideal phase control at the RIS is unrealizable in practice because of the imperfections in the channel estimations and the hardware limitations. This imperfection in phase control can have a significant impact on the system performance. Motivated by this, in this paper, we consider an RIS-assisted uplink NOMA system in the presence of imperfect phase compensation. We formulate the criterion for pairing the users that achieves minimum required data rates. We propose adaptive user pairing algorithms that maximize spectral or energy efficiency. We then derive various bounds on power allocation factors for the paired users. Through extensive simulation results, we show that the proposed algorithms significantly outperform the state-of-the-art algorithms in terms of spectral and energy efficiency.




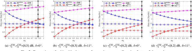
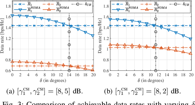
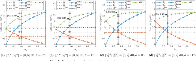
Abstract:In this letter, we analyze the performance of the intelligent reflecting surface (IRS) assisted downlink non-orthogonal multiple access (NOMA) systems in the presence of imperfect phase compensation. We derive an upper bound on the imperfect phase compensation to achieve minimum required data rates for each user. Using this bound, we propose an adaptive user pairing algorithm to maximize the network throughput. We then derive bounds on the power allocation factors and propose power allocation algorithms for the paired users to achieve the maximum sum rate or ensure fairness. Through extensive simulations, we show that the proposed algorithms significantly outperform the state-of-the-art algorithms.