Abstract:The quality of ontologies and their alignments is crucial for developing high-quality semantics-based applications. Traditional debugging techniques repair ontology networks by removing unwanted axioms and mappings, but may thereby remove consequences that are correct in the domain of the ontology network. In this paper we propose a framework for repairing ontology networks that deals with this issue. It defines basic operations such as debugging, weakening and completing. Further, it defines combination operators that reflect choices in how and when to use the basic operators, as well as choices regarding the autonomy level of the ontologies and alignments in the ontology network. We show the influence of the combination operators on the quality of the repaired network and present an implemented tool. By using our framework together with existing algorithms for debugging, weakening and completing, we essentially provide a blueprint for extending previous work and systems.




Abstract:The quality of ontologies in terms of their correctness and completeness is crucial for developing high-quality ontology-based applications. Traditional debugging techniques repair ontologies by removing unwanted axioms, but may thereby remove consequences that are correct in the domain of the ontology. In this paper we propose an interactive approach to mitigate this for $\mathcal{EL}$ ontologies by axiom weakening and completing. We present algorithms for weakening and completing and present the first approach for repairing that takes into account removing, weakening and completing. We show different combination strategies, discuss the influence on the final ontologies and show experimental results. We show that previous work has only considered special cases and that there is a trade-off between the amount of validation work for a domain expert and the quality of the ontology in terms of correctness and completeness.




Abstract:In the materials design domain, much of the data from materials calculations are stored in different heterogeneous databases. Materials databases usually have different data models. Therefore, the users have to face the challenges to find the data from adequate sources and integrate data from multiple sources. Ontologies and ontology-based techniques can address such problems as the formal representation of domain knowledge can make data more available and interoperable among different systems. In this paper, we introduce the Materials Design Ontology (MDO), which defines concepts and relations to cover knowledge in the field of materials design. MDO is designed using domain knowledge in materials science (especially in solid-state physics), and is guided by the data from several databases in the materials design field. We show the application of the MDO to materials data retrieved from well-known materials databases.

Abstract:As semantically-enabled applications require high-quality ontologies, developing and maintaining as correct and complete as possible ontologies is an important, although difficult task in ontology engineering. A key step is ontology debugging and completion. In general, there are two steps: detecting defects and repairing defects. In this paper we formalize the repairing step as an abduction problem and situate the state of the art with respect to this framework. We show that there still are many open research problems and show opportunities for further work and advancing the field.




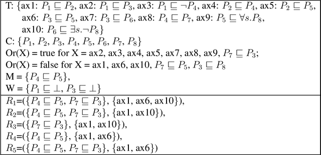
Abstract:With the increased use of ontologies in semantically-enabled applications, the issue of debugging defects in ontologies has become increasingly important. These defects can lead to wrong or incomplete results for the applications. Debugging consists of the phases of detection and repairing. In this paper we focus on the repairing phase of a particular kind of defects, i.e. the missing relations in the is-a hierarchy. Previous work has dealt with the case of taxonomies. In this work we extend the scope to deal with ALC ontologies that can be represented using acyclic terminologies. We present algorithms and discuss a system.