Abstract:Logit regularization, the addition of a convex penalty directly in logit space, is widely used in modern classifiers, with label smoothing as a prominent example. While such methods often improve calibration and generalization, their mechanism remains under-explored. In this work, we analyze a general class of such logit regularizers in the context of linear classification, and demonstrate that they induce an implicit bias of logit clustering around finite per-sample targets. For Gaussian data, or whenever logits are sufficiently clustered, we prove that logit clustering drives the weight vector to align exactly with Fisher's Linear Discriminant. To demonstrate the consequences, we study a simple signal-plus-noise model in which this transition has dramatic effects: Logit regularization halves the critical sample complexity and induces grokking in the small-noise limit, while making generalization robust to noise. Our results extend the theoretical understanding of label smoothing and highlight the efficacy of a broader class of logit-regularization methods.
Abstract:The performance of large language models (LLMs) on verifiable tasks is usually measured by pass@k, the probability of answering a question correctly at least once in k trials. At a fixed budget, a more suitable metric is coverage@cost, the average number of unique questions answered as a function of the total number of attempts. We connect the two metrics and show that the empirically-observed power-law behavior in pass@k leads to a sublinear growth of the coverage@cost (diminishing returns). To solve this problem, we propose Reset-and-Discard (ReD), a query method of LLMs that increases coverage@cost for any given budget, regardless of the pass@k form. Moreover, given a pass@k, we can quantitatively predict the savings in the total number of attempts using ReD. If pass@k is not available for the model, ReD can infer its power-law exponent. Experiments on three LLMs using HumanEval demonstrate that ReD substantially reduces the required attempts, tokens, and USD cost to reach a desired coverage, while also offering an efficient way to measure inference power-laws.
Abstract:We analyze neural scaling laws in a solvable model of last-layer fine-tuning where targets have intrinsic, instance-heterogeneous difficulty. In our Latent Instance Difficulty (LID) model, each input's target variance is governed by a latent ``precision'' drawn from a heavy-tailed distribution. While generalization loss recovers standard scaling laws, our main contribution connects this to inference. The pass@$k$ failure rate exhibits a power-law decay, $k^{-β_\text{eff}}$, but the observed exponent $β_\text{eff}$ is training-dependent. It grows with sample size $N$ before saturating at an intrinsic limit $β$ set by the difficulty distribution's tail. This coupling reveals that learning shrinks the ``hard tail'' of the error distribution: improvements in the model's generalization error steepen the pass@$k$ curve until irreducible target variance dominates. The LID model yields testable, closed-form predictions for this behavior, including a compute-allocation rule that favors training before saturation and inference attempts after. We validate these predictions in simulations and in two real-data proxies: CIFAR-10H (human-label variance) and a maths teacher-student distillation task.




Abstract:Neural scaling laws have garnered significant interest due to their ability to predict model performance as a function of increasing parameters, data, and compute. In this work, we propose a simple statistical ansatz based on memorization to study scaling laws in the context of inference, specifically how performance improves with multiple inference attempts. We explore the coverage, or pass@k metric, which measures the chance of success over repeated attempts and provide a motivation for the observed functional form of the inference scaling behavior of the coverage in large language models (LLMs) on reasoning tasks. We then define an "inference loss", which exhibits a power law decay as the number of trials increases, and connect this result with prompting costs. We further test our construction by conducting experiments on a simple generative model, and find that our predictions are in agreement with the empirical coverage curves in a controlled setting. Our simple framework sets the ground for incorporating inference scaling with other known scaling laws.




Abstract:We study the generalization properties of binary logistic classification in a simplified setting, for which a "memorizing" and "generalizing" solution can always be strictly defined, and elucidate empirically and analytically the mechanism underlying Grokking in its dynamics. We analyze the asymptotic long-time dynamics of logistic classification on a random feature model with a constant label and show that it exhibits Grokking, in the sense of delayed generalization and non-monotonic test loss. We find that Grokking is amplified when classification is applied to training sets which are on the verge of linear separability. Even though a perfect generalizing solution always exists, we prove the implicit bias of the logisitc loss will cause the model to overfit if the training data is linearly separable from the origin. For training sets that are not separable from the origin, the model will always generalize perfectly asymptotically, but overfitting may occur at early stages of training. Importantly, in the vicinity of the transition, that is, for training sets that are almost separable from the origin, the model may overfit for arbitrarily long times before generalizing. We gain more insights by examining a tractable one-dimensional toy model that quantitatively captures the key features of the full model. Finally, we highlight intriguing common properties of our findings with recent literature, suggesting that grokking generally occurs in proximity to the interpolation threshold, reminiscent of critical phenomena often observed in physical systems.




Abstract:We derive closed-form expressions for the Bayes optimal decision boundaries in binary classification of high dimensional overlapping Gaussian mixture model (GMM) data, and show how they depend on the eigenstructure of the class covariances, for particularly interesting structured data. We empirically demonstrate, through experiments on synthetic GMMs inspired by real-world data, that deep neural networks trained for classification, learn predictors which approximate the derived optimal classifiers. We further extend our study to networks trained on authentic data, observing that decision thresholds correlate with the covariance eigenvectors rather than the eigenvalues, mirroring our GMM analysis. This provides theoretical insights regarding neural networks' ability to perform probabilistic inference and distill statistical patterns from intricate distributions.




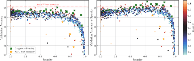
Abstract:With the success of deep neural networks (NNs) in a variety of domains, the computational and storage requirements for training and deploying large NNs have become a bottleneck for further improvements. Sparsification has consequently emerged as a leading approach to tackle these issues. In this work, we consider a simple yet effective approach to sparsification, based on the Bridge, or $L_p$ regularization during training. We introduce a novel weight decay scheme, which generalizes the standard $L_2$ weight decay to any $p$ norm. We show that this scheme is compatible with adaptive optimizers, and avoids the gradient divergence associated with $0<p<1$ norms. We empirically demonstrate that it leads to highly sparse networks, while maintaining generalization performance comparable to standard $L_2$ regularization.




Abstract:Neural networks sometimes exhibit grokking, a phenomenon where perfect or near-perfect performance is achieved on a validation set well after the same performance has been obtained on the corresponding training set. In this workshop paper, we introduce a robust technique for measuring grokking, based on fitting an appropriate functional form. We then use this to investigate the sharpness of transitions in training and validation accuracy under two settings. The first setting is the theoretical framework developed by Levi et al. (2023) where closed form expressions are readily accessible. The second setting is a two-layer MLP trained to predict the parity of bits, with grokking induced by the concealment strategy of Miller et al. (2023). We find that trends between relative grokking gap and grokking sharpness are similar in both settings when using absolute and relative measures of sharpness. Reflecting on this, we make progress toward explaining some trends and identify the need for further study to untangle the various mechanisms which influence the sharpness of grokking.




Abstract:Turbulence is a complex spatial and temporal structure created by the strong non-linear dynamics of fluid flows at high Reynolds numbers. Despite being an ubiquitous phenomenon that has been studied for centuries, a full understanding of turbulence remained a formidable challenge. Here, we introduce tools from the fields of quantum chaos and Random Matrix Theory (RMT) and present a detailed analysis of image datasets generated from turbulence simulations of incompressible and compressible fluid flows. Focusing on two observables: the data Gram matrix and the single image distribution, we study both the local and global eigenvalue statistics and compare them to classical chaos, uncorrelated noise and natural images. We show that from the RMT perspective, the turbulence Gram matrices lie in the same universality class as quantum chaotic rather than integrable systems, and the data exhibits power-law scalings in the bulk of its eigenvalues which are vastly different from uncorrelated classical chaos, random data, natural images. Interestingly, we find that the single sample distribution only appears as fully RMT chaotic, but deviates from chaos at larger correlation lengths, as well as exhibiting different scaling properties.




Abstract:Grokking is the intriguing phenomenon where a model learns to generalize long after it has fit the training data. We show both analytically and numerically that grokking can surprisingly occur in linear networks performing linear tasks in a simple teacher-student setup with Gaussian inputs. In this setting, the full training dynamics is derived in terms of the training and generalization data covariance matrix. We present exact predictions on how the grokking time depends on input and output dimensionality, train sample size, regularization, and network initialization. We demonstrate that the sharp increase in generalization accuracy may not imply a transition from "memorization" to "understanding", but can simply be an artifact of the accuracy measure. We provide empirical verification for our calculations, along with preliminary results indicating that some predictions also hold for deeper networks, with non-linear activations.