



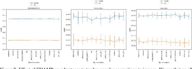
Abstract:This paper considers the problem of Hierarchical Multi-Label Classification (HMC), where (i) several labels can be present for each example, and (ii) labels are related via a domain-specific hierarchy tree. Guided by the intuition that all mistakes are not equal, we present Comprehensive Hierarchy Aware Multi-label Predictions (CHAMP), a framework that penalizes a misprediction depending on its severity as per the hierarchy tree. While there have been works that apply such an idea to single-label classification, to the best of our knowledge, there are limited such works for multilabel classification focusing on the severity of mistakes. The key reason is that there is no clear way of quantifying the severity of a misprediction a priori in the multilabel setting. In this work, we propose a simple but effective metric to quantify the severity of a mistake in HMC, naturally leading to CHAMP. Extensive experiments on six public HMC datasets across modalities (image, audio, and text) demonstrate that incorporating hierarchical information leads to substantial gains as CHAMP improves both AUPRC (2.6% median percentage improvement) and hierarchical metrics (2.85% median percentage improvement), over stand-alone hierarchical or multilabel classification methods. Compared to standard multilabel baselines, CHAMP provides improved AUPRC in both robustness (8.87% mean percentage improvement ) and less data regimes. Further, our method provides a framework to enhance existing multilabel classification algorithms with better mistakes (18.1% mean percentage increment).