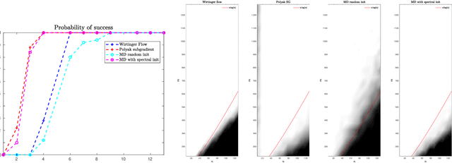
Abstract:In this paper, we aim to reconstruct an n-dimensional real vector from m phaseless measurements corrupted by an additive noise. We extend the noiseless framework developed in [15], based on mirror descent (or Bregman gradient descent), to deal with noisy measurements and prove that the procedure is stable to (small enough) additive noise. In the deterministic case, we show that mirror descent converges to a critical point of the phase retrieval problem, and if the algorithm is well initialized and the noise is small enough, the critical point is near the true vector up to a global sign change. When the measurements are i.i.d Gaussian and the signal-to-noise ratio is large enough, we provide global convergence guarantees that ensure that with high probability, mirror descent converges to a global minimizer near the true vector (up to a global sign change), as soon as the number of measurements m is large enough. The sample complexity bound can be improved if a spectral method is used to provide a good initial guess. We complement our theoretical study with several numerical results showing that mirror descent is both a computationally and statistically efficient scheme to solve the phase retrieval problem.




Abstract:In this paper, we consider the problem of phase retrieval, which consists of recovering an $n$-dimensional real vector from the magnitude of its $m$ linear measurements. We propose a mirror descent (or Bregman gradient descent) algorithm based on a wisely chosen Bregman divergence, hence allowing to remove the classical global Lipschitz continuity requirement on the gradient of the non-convex phase retrieval objective to be minimized. We apply the mirror descent for two random measurements: the \iid standard Gaussian and those obtained by multiple structured illuminations through Coded Diffraction Patterns (CDP). For the Gaussian case, we show that when the number of measurements $m$ is large enough, then with high probability, for almost all initializers, the algorithm recovers the original vector up to a global sign change. For both measurements, the mirror descent exhibits a local linear convergence behaviour with a dimension-independent convergence rate. Our theoretical results are finally illustrated with various numerical experiments, including an application to the reconstruction of images in precision optics.