



Abstract:Multi-label Classification (MLC) assigns an instance to one or more non-exclusive classes. A challenge arises when the dataset contains a large proportion of instances with no assigned class, referred to as negative data, which can overwhelm the learning process and hinder the accurate identification and classification of positive instances. Nevertheless, it is common in MLC applications such as industrial defect detection, agricultural disease identification, and healthcare diagnosis to encounter large amounts of negative data. Assigning a separate negative class to these instances further complicates the learning objective and introduces unnecessary redundancies. To address this challenge, we redesign standard MLC loss functions by deriving a likelihood of any class being present, formulated by a normalized weighted geometric mean of the predicted class probabilities. We introduce a regularization parameter that controls the relative contribution of the absent class probabilities to the any-class presence likelihood in positive instances. The any-class presence likelihood complements the multi-label learning by encouraging the network to become more aware of implicit positive instances and improve the label classification within those positive instances. Experiments on large-scale datasets with negative data: SewerML, modified COCO, and ChestX-ray14, across various networks and base loss functions show that our loss functions consistently improve MLC performance of their standard loss counterparts, achieving gains of up to 6.01 percentage points in F1, 8.06 in F2, and 3.11 in mean average precision, all without additional parameters or computational complexity. Code available at: https://github.com/ML-for-Sensor-Data-Western/gmean-mlc




Abstract:We propose a novel symbolic modeling framework for decision-making under risk that merges interpretability with the core insights of Prospect Theory. Our approach replaces opaque utility curves and probability weighting functions with transparent, effect-size-guided features. We mathematically formalize the method, demonstrate its ability to replicate well-known framing and loss-aversion phenomena, and provide an end-to-end empirical validation on synthetic datasets. The resulting model achieves competitive predictive performance while yielding clear coefficients mapped onto psychological constructs, making it suitable for applications ranging from AI safety to economic policy analysis.




Abstract:The increasing impact of human-induced climate change and unplanned urban constructions has increased flooding incidents in recent years. Accurate identification of flooded areas is crucial for effective disaster management and urban planning. While few works have utilized convolutional neural networks and transformer-based semantic segmentation techniques for identifying flooded areas from aerial footage, recent developments in graph neural networks have created improvement opportunities. This paper proposes an innovative approach, the Graph Attention Convolutional U-NET (GAC-UNET) model, based on graph neural networks for automated identification of flooded areas. The model incorporates a graph attention mechanism and Chebyshev layers into the U-Net architecture. Furthermore, this paper explores the applicability of transfer learning and model reprogramming to enhance the accuracy of flood area segmentation models. Empirical results demonstrate that the proposed GAC-UNET model, outperforms other approaches with 91\% mAP, 94\% dice score, and 89\% IoU, providing valuable insights for informed decision-making and better planning of future infrastructures in flood-prone areas.




Abstract:Consumer energy forecasting is essential for managing energy consumption and planning, directly influencing operational efficiency, cost reduction, personalized energy management, and sustainability efforts. In recent years, deep learning techniques, especially LSTMs and transformers, have been greatly successful in the field of energy consumption forecasting. Nevertheless, these techniques have difficulties in capturing complex and sudden variations, and, moreover, they are commonly examined only on a specific type of consumer (e.g., only offices, only schools). Consequently, this paper proposes HyperEnergy, a consumer energy forecasting strategy that leverages hypernetworks for improved modeling of complex patterns applicable across a diversity of consumers. Hypernetwork is responsible for predicting the parameters of the primary prediction network, in our case LSTM. A learnable adaptable kernel, comprised of polynomial and radial basis function kernels, is incorporated to enhance performance. The proposed HyperEnergy was evaluated on diverse consumers including, student residences, detached homes, a home with electric vehicle charging, and a townhouse. Across all consumer types, HyperEnergy consistently outperformed 10 other techniques, including state-of-the-art models such as LSTM, AttentionLSTM, and transformer.




Abstract:This research provides an in-depth evaluation of various machine learning models for energy forecasting, focusing on the unique challenges of seasonal variations in student residential settings. The study assesses the performance of baseline models, such as LSTM and GRU, alongside state-of-the-art forecasting methods, including Autoregressive Feedforward Neural Networks, Transformers, and hybrid approaches. Special attention is given to predicting energy consumption amidst challenges like seasonal patterns, vacations, meteorological changes, and irregular human activities that cause sudden fluctuations in usage. The findings reveal that no single model consistently outperforms others across all seasons, emphasizing the need for season-specific model selection or tailored designs. Notably, the proposed Hyper Network based LSTM and MiniAutoEncXGBoost models exhibit strong adaptability to seasonal variations, effectively capturing abrupt changes in energy consumption during summer months. This study advances the energy forecasting field by emphasizing the critical role of seasonal dynamics and model-specific behavior in achieving accurate predictions.




Abstract:Load forecasting plays a crucial role in energy management, directly impacting grid stability, operational efficiency, cost reduction, and environmental sustainability. Traditional Vanilla Recurrent Neural Networks (RNNs) face issues such as vanishing and exploding gradients, whereas sophisticated RNNs such as LSTMs have shown considerable success in this domain. However, these models often struggle to accurately capture complex and sudden variations in energy consumption, and their applicability is typically limited to specific consumer types, such as offices or schools. To address these challenges, this paper proposes the Kolmogorov-Arnold Recurrent Network (KARN), a novel load forecasting approach that combines the flexibility of Kolmogorov-Arnold Networks with RNN's temporal modeling capabilities. KARN utilizes learnable temporal spline functions and edge-based activations to better model non-linear relationships in load data, making it adaptable across a diverse range of consumer types. The proposed KARN model was rigorously evaluated on a variety of real-world datasets, including student residences, detached homes, a home with electric vehicle charging, a townhouse, and industrial buildings. Across all these consumer categories, KARN consistently outperformed traditional Vanilla RNNs, while it surpassed LSTM and Gated Recurrent Units (GRUs) in six buildings. The results demonstrate KARN's superior accuracy and applicability, making it a promising tool for enhancing load forecasting in diverse energy management scenarios.




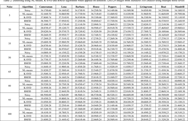
Abstract:With the recent advancements in the field of information industry, critical data in the form of digital images is best understood by the human brain. Therefore, digital images play a significant part and backbone role in many areas such as image processing, vision computing, robotics, and bio-medical. Such use of digital images is practically implementable in various real-time scenarios like biological sciences, medicine, gaming technology, computer information and communication technology, data and statistical science, radiological sciences and medical imaging technology, and medical lab technology. However, when any digital image is sent electronically or captured via camera, it is likely to get corrupted or degraded by the available of degradation factors. To eradicate this problem, several image denoising algorithms have been proposed in the literature focusing on robust, low-cost and fast techniques to improve output performance. Consequently, in this research project, an earnest effort has been made to study various image denoising algorithms. A specific focus is given to the start-of-the-art techniques namely: NL-means, K-SVD, and BM3D. The standard images, natural images, texture images, synthetic images, and images from other datasets have been tested via these algorithms, and a detailed set of convincing results have been provided for efficient comparison.




Abstract:This paper introduces the Global-Local Image Perceptual Score (GLIPS), an image metric designed to assess the photorealistic image quality of AI-generated images with a high degree of alignment to human visual perception. Traditional metrics such as FID and KID scores do not align closely with human evaluations. The proposed metric incorporates advanced transformer-based attention mechanisms to assess local similarity and Maximum Mean Discrepancy (MMD) to evaluate global distributional similarity. To evaluate the performance of GLIPS, we conducted a human study on photorealistic image quality. Comprehensive tests across various generative models demonstrate that GLIPS consistently outperforms existing metrics like FID, SSIM, and MS-SSIM in terms of correlation with human scores. Additionally, we introduce the Interpolative Binning Scale (IBS), a refined scaling method that enhances the interpretability of metric scores by aligning them more closely with human evaluative standards. The proposed metric and scaling approach not only provides more reliable assessments of AI-generated images but also suggest pathways for future enhancements in image generation technologies.