



Abstract:The calibration of an advanced constitutive law for soil is a challenging task. This work describes GA-cal, a Fortran software for automatically calibrating constitutive laws using Genetic Algorithms (GA) optimization. The proposed approach sets the calibration problem as a regression, and the GA optimization is used to adjust the model parameters so that a numerical model matches experimental data. This document provides a user guide and a simple tutorial. We showcase GA-cal on the calibration of the Sand Hypoplastic law proposed by von Wolffersdorff, with the oedometer and triaxial drained test data. The implemented subroutines can be easily extended to solve other regression or optimization problems, including different tests and constitutive models. The source code and the presented tutorial are freely available at \url{https://github.com/FraJoMen/GA-cal}.




Abstract:This chapter reviews the fundamentals of continuous and discrete Linear Time-Invariant (LTI) systems with Single Input-Single Output (SISO). We start from the general notions of signals and systems, the signal representation problem and the related orthogonal bases in discrete and continuous forms. We then move to the key properties of LTI systems and discuss their eigenfunctions, the input-output relations in the time and frequency domains, the conformal mapping linking the continuous and the discrete formulations, and the modeling via differential and difference equations. Finally, we close with two important applications: (linear) models for time series analysis and forecasting and (linear) digital filters for multi-resolution analysis. This chapter contains seven exercises, the solution of which is provided in the book's webpage.




Abstract:Machine learning frameworks such as Genetic Programming (GP) and Reinforcement Learning (RL) are gaining popularity in flow control. This work presents a comparative analysis of the two, bench-marking some of their most representative algorithms against global optimization techniques such as Bayesian Optimization (BO) and Lipschitz global optimization (LIPO). First, we review the general framework of the flow control problem, linking optimal control theory with model-free machine learning methods. Then, we test the control algorithms on three test cases. These are (1) the stabilization of a nonlinear dynamical system featuring frequency cross-talk, (2) the wave cancellation from a Burgers' flow and (3) the drag reduction in a cylinder wake flow. Although the control of these problems has been tackled in the recent literature with one method or the other, we present a comprehensive comparison to illustrate their differences in exploration versus exploitation and their balance between `model capacity' in the control law definition versus `required complexity'. We believe that such a comparison opens the path towards hybridization of the various methods, and we offer some perspective on their future development in the literature of flow control problems.




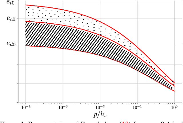
Abstract:This article proposes an optimization framework, based on Genetic Algorithms (GA), to calibrate the constitutive law of von Wolffersdorff. This constitutive law is known as Sand Hypoplasticity (SH), and allows for robust and accurate modeling of the soil behavior but requires a complex calibration involving eight parameters. The proposed optimization can automatically fit these parameters from the results of an oedometric and a triaxial drained compression test, by combining the GA with a numerical solver that integrates the SH in the test conditions. By repeating the same calibration several times, the stochastic nature of the optimizer enables the uncertainty quantification of the calibration parameters and allows studying their relative importance on the model prediction. After validating the numerical solver on the ExCaliber-Laboratory software from the SoilModels' website, the GA calibration is tested on a synthetic dataset to analyze the convergence and the statistics of the results. In particular, a correlation analysis reveals that two couples of the eight model parameters are strongly correlated. Finally, the calibration procedure is tested on the results from von Wolffersdorff, 1996, and Herle & Gudehus, 1999, on the Hochstetten sand. The model parameters identified by the Genetic Algorithm optimization improves the matching with the experimental data and hence lead to a better calibration.