



Abstract:This paper is concerned with the apparent greatest weakness of the Mathematical Theory of Evidence (MTE) of Shafer \cite{Shafer:76}, which has been strongly criticized by Wasserman \cite{Wasserman:92ijar}. Weaknesses of Shafer's proposal \cite{Shafer:90b} of probabilistic interpretation of MTE belief functions is demonstrated. Thereafter a new probabilistic interpretation of MTE conforming both to definition of belief function and to Dempster's rule of combination of independent evidence. It is shown that shaferian conditioning of belief functions on observations \cite{Shafer:90b} may be treated as selection combined with modification of data, that is data is not viewed as it is but it is casted into one's beliefs in what it should be like.
Abstract:Mathematical Theory of Evidence (MTE) is known as a foundation for reasoning when knowledge is expressed at various levels of detail. Though much research effort has been committed to this theory since its foundation, many questions remain open. One of the most important open questions seems to be the relationship between frequencies and the Mathematical Theory of Evidence. The theory is blamed to leave frequencies outside (or aside of) its framework. The seriousness of this accusation is obvious: no experiment may be run to compare the performance of MTE-based models of real world processes against real world data. In this paper we develop a frequentist model of the MTE bringing to fall the above argument against MTE. We describe, how to interpret data in terms of MTE belief functions, how to reason from data about conditional belief functions, how to generate a random sample out of a MTE model, how to derive MTE model from data and how to compare results of reasoning in MTE model and reasoning from data. It is claimed in this paper that MTE is suitable to model some types of destructive processes




Abstract:Though a belief network (a representation of the joint probability distribution, see [3]) and a causal network (a representation of causal relationships [14]) are intended to mean different things, they are closely related. Both assume an underlying dag (directed acyclic graph) structure of relations among variables and if Markov condition and faithfulness condition [15] are met, then a causal network is in fact a belief network. The difference comes to appearance when we recover belief network and causal network structure from data. A causal network structure may be impossible to recover completely from data as not all directions of causal links may be uniquely determined [15]. Fortunately, if we deal with causally sufficient sets of variables (that is whenever significant influence variables are not omitted from observation), then there exists the possibility to identify the family of belief networks a causal network belongs to [16]. Regrettably, to our knowledge, a similar result is not directly known for causally insufficient sets of variables. Spirtes, Glymour and Scheines developed a CI algorithm to handle this situation, but it leaves some important questions open. The big open question is whether or not the bidirectional edges (that is indications of a common cause) are the only ones necessary to develop a belief network out of the product of CI, or must there be some other hidden variables added (e.g. by guessing). This paper is devoted to settling this question.




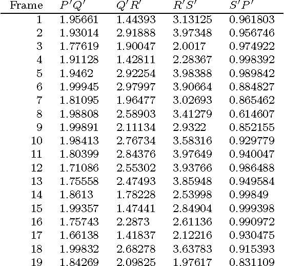
Abstract:A method to recover structural parameters of looped jointed objects from multiframes is being developed. Each rigid part of the jointed body needs only to be traced at two (that is at junction) points. This method has been linearized for 4-part loops, with recovery from at least 19 frames.




Abstract:This paper investigates the validity of Kleinberg's axioms for clustering functions with respect to the quite popular clustering algorithm called $k$-means. While Kleinberg's axioms have been discussed heavily in the past, we concentrate here on the case predominantly relevant for $k$-means algorithm, that is behavior embedded in Euclidean space. We point at some contradictions and counter intuitiveness aspects of this axiomatic set within $\mathbb{R}^m$ that were evidently not discussed so far. Our results suggest that apparently without defining clearly what kind of clusters we expect we will not be able to construct a valid axiomatic system. In particular we look at the shape and the gaps between the clusters. Finally we demonstrate that there exist several ways to reconcile the formulation of the axioms with their intended meaning and that under this reformulation the axioms stop to be contradictory and the real-world $k$-means algorithm conforms to this axiomatic system.




Abstract:We develop our interpretation of the joint belief distribution and of evidential updating that matches the following basic requirements: * there must exist an efficient method for reasoning within this framework * there must exist a clear correspondence between the contents of the knowledge base and the real world * there must be a clear correspondence between the reasoning method and some real world process * there must exist a clear correspondence between the results of the reasoning process and the results of the real world process corresponding to the reasoning process.




Abstract:This paper suggests a new interpretation of the Dempster-Shafer theory in terms of probabilistic interpretation of plausibility. A new rule of combination of independent evidence is shown and its preservation of interpretation is demonstrated.




Abstract:This paper investigates the application of consensus clustering and meta-clustering to the set of all possible partitions of a data set. We show that when using a "complement" of Rand Index as a measure of cluster similarity, the total-separation partition, putting each element in a separate set, is chosen.




Abstract:The purpose of this article is to introduce a new iterative algorithm with properties resembling real life bipartite graphs. The algorithm enables us to generate wide range of random bigraphs, which features are determined by a set of parameters.We adapt the advances of last decade in unipartite complex networks modeling to the bigraph setting. This data structure can be observed in several situations. However, only a few datasets are freely available to test the algorithms (e.g. community detection, influential nodes identification, information retrieval) which operate on such data. Therefore, artificial datasets are needed to enhance development and testing of the algorithms. We are particularly interested in applying the generator to the analysis of recommender systems. Therefore, we focus on two characteristics that, besides simple statistics, are in our opinion responsible for the performance of neighborhood based collaborative filtering algorithms. The features are node degree distribution and local clustering coeficient.




Abstract:The purpose of this article is to introduce a new analytical framework dedicated to measuring performance of recommender systems. The standard approach is to assess the quality of a system by means of accuracy related statistics. However, the specificity of the environments in which recommender systems are deployed requires to pay much attention to speed and memory requirements of the algorithms. Unfortunately, it is implausible to assess accurately the complexity of various algorithms with formal tools. This can be attributed to the fact that such analyses are usually based on an assumption of dense representation of underlying data structures. Whereas, in real life the algorithms operate on sparse data and are implemented with collections dedicated for them. Therefore, we propose to measure the complexity of recommender systems with artificial datasets that posses real-life properties. We utilize recently developed bipartite graph generator to evaluate how state-of-the-art recommender systems' behavior is determined and diversified by topological properties of the generated datasets.