



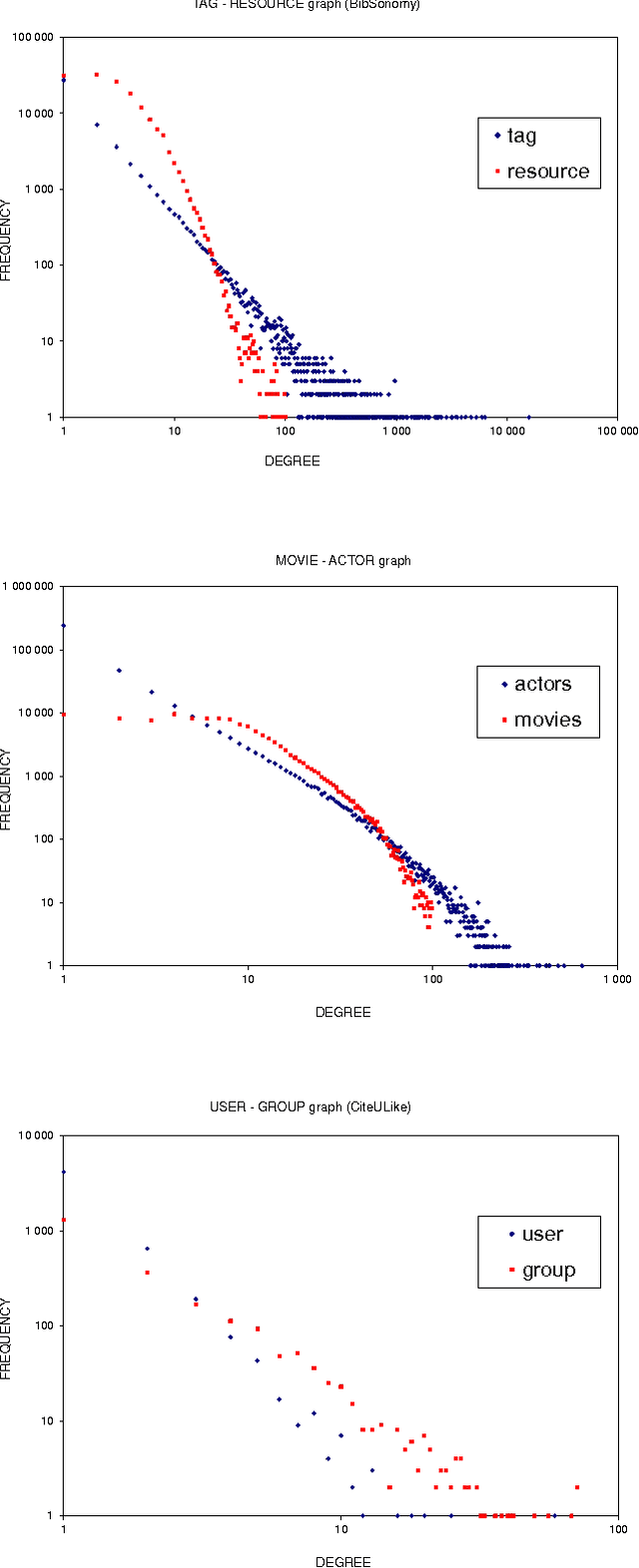
The purpose of this article is to introduce a new iterative algorithm with properties resembling real life bipartite graphs. The algorithm enables us to generate wide range of random bigraphs, which features are determined by a set of parameters.We adapt the advances of last decade in unipartite complex networks modeling to the bigraph setting. This data structure can be observed in several situations. However, only a few datasets are freely available to test the algorithms (e.g. community detection, influential nodes identification, information retrieval) which operate on such data. Therefore, artificial datasets are needed to enhance development and testing of the algorithms. We are particularly interested in applying the generator to the analysis of recommender systems. Therefore, we focus on two characteristics that, besides simple statistics, are in our opinion responsible for the performance of neighborhood based collaborative filtering algorithms. The features are node degree distribution and local clustering coeficient.