Abstract:Since soft robotics are composed of compliant materials, they perform better than conventional rigid robotics in specific fields, such as medical applications. However, the field of soft robotics is fairly new, and the design process of their morphology and their controller strategies has not yet been thoroughly studied. Consequently, here, an automated design method for the controller of soft actuators based on Neuroevolution is proposed. Specifically, the suggested techniques employ Neuroevolution of Augmenting Topologies (NEAT) and Hypercube-based NEAT (HyperNEAT) to generate the synchronization profile of the components of a simulated soft actuator by employing Compositional Pattern Producing Networks (CPPNs). As a baseline methodology, a Standard Genetic Algorithm (SGA) was used. Moreover, to test the robustness of the proposed methodologies, both high- and low-performing morphologies of soft actuators were utilized as testbeds. Moreover, the use of an affluent and a more limited set of activation functions for the Neuroevolution targets was tested throughout the experiments. The results support the hypothesis that Neuroevolution based methodologies are more appropriate for designing controllers that align with both types of morphologies. In specific, NEAT performed better for all different scenarios tested and produced more simplistic networks that are easier to implement in real life applications.
Abstract:Soft robots have proven to outperform traditional robots in applications related to propagation in geometrically constrained environments. Designing these robots and their controllers is an intricate task, since their building materials exhibit non-linear properties. Human designs may be biased; hence, alternative designing processes should be considered. We present a cooperative neuro coevolution approach to designing the morphologies of soft actuators and their controllers for applications in drug delivery apparatus. Morphologies and controllers are encoded as compositional pattern-producing networks evolved by Neuroevolution of Augmented Topologies (NEAT) and in cooperative coevolution methodology, taking into account different collaboration methods. Four collaboration methods are studied: n best individuals, n worst individuals, n best and worst individuals, and n random individuals. As a performance baseline, the results from the implementation of Age-Fitness Pareto Optimisation (AFPO) are considered. The metrics used are the maximum displacement in upward bending and the robustness of the devices in terms of applying to the same evolved morphology a diverse set of controllers. Results suggest that the cooperative neuro coevolution approach can produce more suitable morphologies for the intended devices than AFPO.
Abstract:In medical-related tasks, soft robots can perform better than conventional robots because of their compliant building materials and the movements they are able perform. However, designing soft robot controllers is not an easy task, due to the non-linear properties of their materials. Since human expertise to design such controllers is yet not sufficiently effective, a formal design process is needed. The present research proposes neuroevolution-based algorithms as the core mechanism to automatically generate controllers for biohybrid actuators that can be used on future medical devices, such as a catheter that will deliver drugs. The controllers generated by methodologies based on Neuroevolution of Augmenting Topologies (NEAT) and Hypercube-based NEAT (HyperNEAT) are compared against the ones generated by a standard genetic algorithm (SGA). In specific, the metrics considered are the maximum displacement in upward bending movement and the robustness to control different biohybrid actuator morphologies without redesigning the control strategy. Results indicate that the neuroevolution-based algorithms produce better suited controllers than the SGA. In particular, NEAT designed the best controllers, achieving up to 25% higher displacement when compared with SGA-produced specialised controllers trained over a single morphology and 23% when compared with general purpose controllers trained over a set of morphologies.
Abstract:Soft robots can exhibit better performance in specific tasks compared to conventional robots, particularly in healthcare-related tasks. However, the field of soft robotics is still young, and designing them often involves mimicking natural organisms or relying heavily on human experts' creativity. A formal automated design process is required. We propose the use of neuroevolution-based algorithms to automatically design initial sketches of soft actuators that can enable the movement of future medical devices, such as drug-delivering catheters. The actuator morphologies discovered by algorithms like Age-Fitness Pareto Optimization, NeuroEvolution of Augmenting Topologies (NEAT), and Hypercube-based NEAT (HyperNEAT) were compared based on the maximum displacement reached and their robustness against various control methods. Analyzing the results granted the insight that neuroevolution-based algorithms produce better-performing and more robust actuators under different control methods. Moreover, the best-performing morphologies were discovered by the NEAT algorithm. As a future work aspect, we propose using the morphologies discovered here as test beds to optimize specialized controllers, enabling more effective functionality towards the desired deflections of the suggested soft catheters.
Abstract:Soft robots diverge from traditional rigid robotics, offering unique advantages in adaptability, safety, and human-robot interaction. In some cases, soft robots can be powered by biohybrid actuators and the design process of these systems is far from straightforward. We analyse here two algorithms that may assist the design of these systems, namely, NEAT (NeuroEvolution of Augmented Topologies) and HyperNEAT (Hypercube-based NeuroEvolution of Augmented Topologies). These algorithms exploit the evolution of the structure of actuators encoded through neural networks. To evaluate these algorithms, we compare them with a similar approach using the Age Fitness Pareto Optimization (AFPO) algorithm, with a focus on assessing the maximum displacement achieved by the discovered biohybrid morphologies. Additionally, we investigate the effects of optimization against both the volume of these morphologies and the distance they can cover. To further accelerate the computational process, the proposed methodology is implemented in a client-server setting; so, the most demanding calculations can be executed on specialized and efficient hardware. The results indicate that the HyperNEAT-based approach excels in identifying morphologies with minimal volumes that still achieve satisfactory displacement targets.




Abstract:Evolutionary algorithms have long been used for optimization problems where the appropriate size of solutions is unclear a priori. The applicability of this methodology is here investigated on the problem of designing a nano-particle (NP) based drug delivery system targeting cancer tumours. Utilizing a treatment comprising of multiple types of NPs is expected to be more effective due to the higher complexity of the treatment. This paper begins by utilizing the well-known NK model to explore the effects of fitness landscape ruggedness upon the evolution of genome length and, hence, solution complexity. The size of a novel sequence and the absence or presence of sequence deletion are also considered. Results show that whilst landscape ruggedness can alter the dynamics of the process, it does not hinder the evolution of genome length. These findings are then explored within the aforementioned real-world problem. In the first known instance, treatments with multiple types of NPs are used simultaneously, via an agent-based open source physics-based cell simulator. The results suggest that utilizing multiple types of NPs is more efficient when the solution space is explored with the evolutionary techniques under a predefined computational budget.




Abstract:Conventional optimization methodologies may be hindered when the automated search is stuck into local optima because of a deceptive objective function landscape. Consequently, open ended search methodologies, such as novelty search, have been proposed to tackle this issue. Overlooking the objective, while putting pressure into discovering novel solutions may lead to better solutions in practical problems. Novelty search was employed here to optimize the simulated design of a targeted drug delivery system for tumor treatment under the PhysiCell simulator. A hybrid objective equation was used containing both the actual objective of an effective tumour treatment and the novelty measure of the possible solutions. Different weights of the two components of the hybrid equation were investigated to unveil the significance of each one.




Abstract:Working towards the development of an evolvable cancer treatment simulator, the investigation of Differential Evolution was considered, motivated by the high efficiency of variations of this technique in real-valued problems. A basic DE algorithm, namely "DE/rand/1" was used to optimize the simulated design of a targeted drug delivery system for tumor treatment on PhysiCell simulator. The suggested approach proved to be more efficient than a standard genetic algorithm, which was not able to escape local minima after a predefined number of generations. The key attribute of DE that enables it to outperform standard EAs, is the fact that it keeps the diversity of the population high, throughout all the generations. This work will be incorporated with ongoing research in a more wide applicability platform that will design, develop and evaluate targeted drug delivery systems aiming cancer tumours.




Abstract:This paper uses a recent explanation for the fundamental haploid-diploid lifecycle of eukaryotic organisms to present a new memetic algorithm that differs from all previous known work using diploid representations. A form of the Baldwin effect has been identified as inherent to the evolutionary mechanisms of eukaryotes and a simplified version is presented here which maintains such behaviour. Using a well-known abstract tuneable model, it is shown that varying fitness landscape ruggedness varies the benefit of haploid-diploid algorithms. Moreover, the methodology is applied to optimise the targeted delivery of a therapeutic compound utilizing nano-particles to cancerous tumour cells with the multicellular simulator PhysiCell.




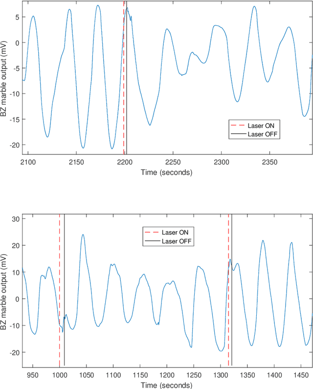
Abstract:We show how to control the movement of a wheeled robot using on-board liquid marbles made of Belousov-Zhabotinsky solution droplets coated with polyethylene powder. Two stainless steel, iridium coated electrodes were inserted in a marble and the electrical potential recorded was used to control the robot's motor. We stimulated the marble with a laser beam. It responded to the stimulation by pronounced changes in the electrical potential output. The electrical output was detected by robot. The robot was changing its trajectory in response to the stimulation. The results open new horizons for applications for oscillatory chemical reactions in robotics.