


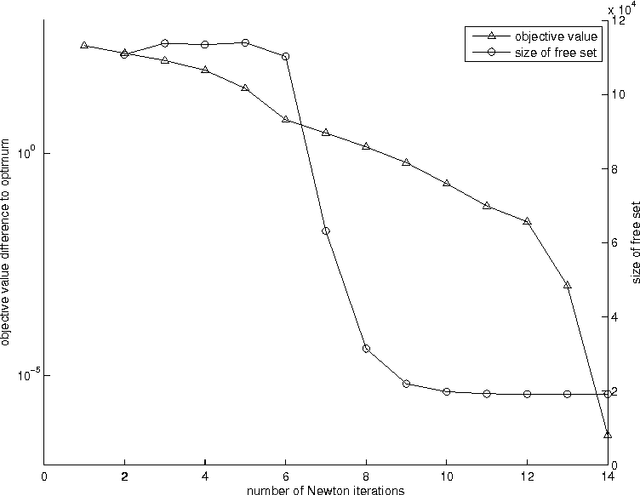
Abstract:The L1-regularized Gaussian maximum likelihood estimator (MLE) has been shown to have strong statistical guarantees in recovering a sparse inverse covariance matrix, or alternatively the underlying graph structure of a Gaussian Markov Random Field, from very limited samples. We propose a novel algorithm for solving the resulting optimization problem which is a regularized log-determinant program. In contrast to recent state-of-the-art methods that largely use first order gradient information, our algorithm is based on Newton's method and employs a quadratic approximation, but with some modifications that leverage the structure of the sparse Gaussian MLE problem. We show that our method is superlinearly convergent, and present experimental results using synthetic and real-world application data that demonstrate the considerable improvements in performance of our method when compared to other state-of-the-art methods.