Abstract:Cell-free massive MIMO (CF-mMIMO) networks have recently emerged as a promising solution to tackle the challenges arising from next-generation massive machine-type communications. In this paper, a fully grant-free deep learning (DL)-based method for user activity detection in CF-mMIMO networks is proposed. Initially, the known non-orthogonal pilot sequences are used to estimate the channel coefficients between each user and the access points. Then, a deep convolutional neural network is used to estimate the activity status of the users. The proposed method is "blind", i.e., it is fully data-driven and does not require prior large-scale fading coefficients estimation. Numerical results show how the proposed DL-based algorithm is able to merge the information gathered by the distributed antennas to estimate the user activity status, yet outperforming a state-of-the-art covariance-based method.




Abstract:In next generation Internet-of-Things, the overhead introduced by grant-based multiple access protocols may engulf the access network as a consequence of the unprecedented number of connected devices. Grant-free access protocols are therefore gaining an increasing interest to support massive access from machine-type devices with intermittent activity. In this paper, coded random access (CRA) with massive multiple input multiple output (MIMO) is investigated as a solution to design highly-scalable massive multiple access protocols, taking into account stringent requirements on latency and reliability. With a focus on signal processing aspects at the physical layer and their impact on the overall system performance, critical issues of successive interference cancellation (SIC) over fading channels are first analyzed. Then, SIC algorithms and a scheduler are proposed that can overcome some of the limitations of the current access protocols. The effectiveness of the proposed processing algorithms is validated by Monte Carlo simulation, for different CRA protocols and by comparisons with developed benchmarks.




Abstract:In this paper, architectures for interplanetary communications that feature the use of a data relay are investigated. In the considered "two-leg" architecture, a spacecraft orbiting the Earth, or in orbit at a Lagrange point, receives data from a deep space probe (leg-1) and relays them towards ground (leg-2). Different wireless technologies for the interplanetary link, namely, radio frequencies above the Ka band and optical frequencies, are considered. Moreover, the cases of transparent and regenerative relaying as well as different different orbital configurations are addressed, offering a thorough analysis of such systems from different viewpoints. Results show that, under certain constraints in terms of pointing accuracy and onboard antenna size, the adoption of a two-leg architecture can achieve the data rates supported by direct space-to-Earth link configurations with remarkably smaller ground station antennas.




Abstract:The design of highly scalable multiple access schemes is a main challenge in the evolution towards future massive machine-type communications, where reliability and latency constraints must be ensured to a large number of uncoordinated devices. In this scenario, coded random access (CRA) schemes, where successive interference cancellation algorithms allow large improvements with respect to classical random access protocols, have recently attracted an increasing interest. Impressive performance can be potentially obtained by combining CRA with massive multiple input multiple output (MIMO). In this paper we provide an analysis of such schemes focusing on the effects of imperfect channel estimation on successive interference cancellation. Based on the analysis we then propose an innovative signal processing algorithm for CRA in massive MIMO systems.




Abstract:Owing to the extremely narrow beams, a main issue in optical deep space communications is represented by miss-pointing errors, which may severely degrade the system performance and availability. In this paper, we address pointing losses in the case in which both the receiver and the transmitter are affected by angular errors. Pointing losses are evaluated through two approaches. The first approach is deterministic and only requires knowledge of a maximum angular error. The second approach requires knowledge of the angular error statistical distribution and tackles the problem from an outage probability viewpoint. These tools are then applied to analyze the impact of pointing losses in deep space optical links in which both terminals suffer from miss-pointing effects. The antenna gains are first optimized to maximize the effective system gain. The optimum antenna gains are then applied to evaluate maximum achievable ranges and to perform link design by means of optical link budgets.




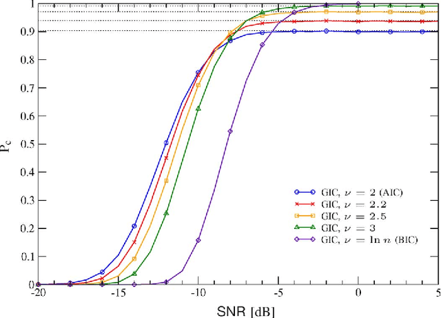
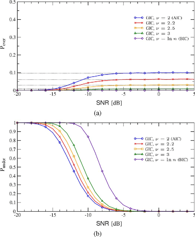
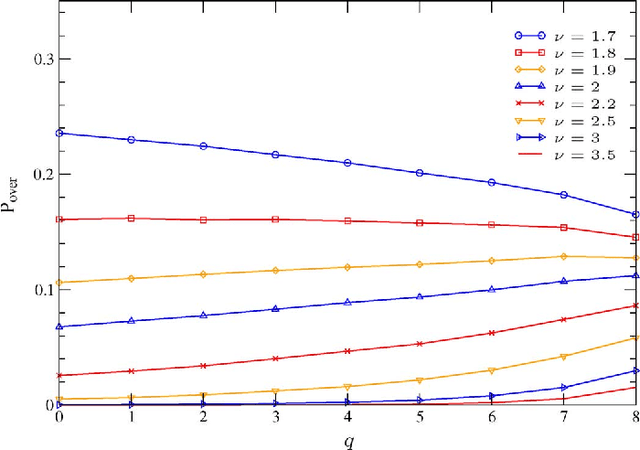
Abstract:Information theoretic criteria (ITC) have been widely adopted in engineering and statistics for selecting, among an ordered set of candidate models, the one that better fits the observed sample data. The selected model minimizes a penalized likelihood metric, where the penalty is determined by the criterion adopted. While rules for choosing a penalty that guarantees a consistent estimate of the model order are known, theoretical tools for its design with finite samples have never been provided in a general setting. In this paper, we study model order selection for finite samples under a design perspective, focusing on the generalized information criterion (GIC), which embraces the most common ITC. The theory is general, and as case studies we consider: a) the problem of estimating the number of signals embedded in additive white Gaussian noise (AWGN) by using multiple sensors; b) model selection for the general linear model (GLM), which includes e.g. the problem of estimating the number of sinusoids in AWGN. The analysis reveals a trade-off between the probabilities of overestimating and underestimating the order of the model. We then propose to design the GIC penalty to minimize underestimation while keeping the overestimation probability below a specified level. For the considered problems, this method leads to analytical derivation of the optimal penalty for a given sample size. A performance comparison between the penalty optimized GIC and common AIC and BIC is provided, demonstrating the effectiveness of the proposed design strategy.