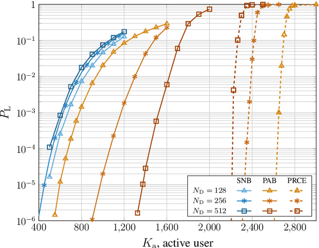
Abstract:The construction of preamble sequences for channel estimation by superposition of orthogonal pilots can improve performance of massive grant-free uplink from machine-type devices. In this letter, a technique is proposed to obtain full benefit from these "pilot mixtures" in presence of a base station with a massive number of antennas. The proposed technique consists of combining pilot mixtures with an intra-slot successive interference cancellation (SIC) algorithm, referred to as inner SIC, to increase the number of decoded messages per slot. In framed systems, the synergic effect of inner SIC and of an outer SIC algorithm across slots, typical of coded random access protocols, allows achieving a very high reliability with a low number of packet replicas per active user.




Abstract:In next generation Internet-of-Things, the overhead introduced by grant-based multiple access protocols may engulf the access network as a consequence of the unprecedented number of connected devices. Grant-free access protocols are therefore gaining an increasing interest to support massive access from machine-type devices with intermittent activity. In this paper, coded random access (CRA) with massive multiple input multiple output (MIMO) is investigated as a solution to design highly-scalable massive multiple access protocols, taking into account stringent requirements on latency and reliability. With a focus on signal processing aspects at the physical layer and their impact on the overall system performance, critical issues of successive interference cancellation (SIC) over fading channels are first analyzed. Then, SIC algorithms and a scheduler are proposed that can overcome some of the limitations of the current access protocols. The effectiveness of the proposed processing algorithms is validated by Monte Carlo simulation, for different CRA protocols and by comparisons with developed benchmarks.




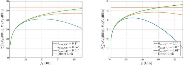
Abstract:In this paper, architectures for interplanetary communications that feature the use of a data relay are investigated. In the considered "two-leg" architecture, a spacecraft orbiting the Earth, or in orbit at a Lagrange point, receives data from a deep space probe (leg-1) and relays them towards ground (leg-2). Different wireless technologies for the interplanetary link, namely, radio frequencies above the Ka band and optical frequencies, are considered. Moreover, the cases of transparent and regenerative relaying as well as different different orbital configurations are addressed, offering a thorough analysis of such systems from different viewpoints. Results show that, under certain constraints in terms of pointing accuracy and onboard antenna size, the adoption of a two-leg architecture can achieve the data rates supported by direct space-to-Earth link configurations with remarkably smaller ground station antennas.




Abstract:The design of highly scalable multiple access schemes is a main challenge in the evolution towards future massive machine-type communications, where reliability and latency constraints must be ensured to a large number of uncoordinated devices. In this scenario, coded random access (CRA) schemes, where successive interference cancellation algorithms allow large improvements with respect to classical random access protocols, have recently attracted an increasing interest. Impressive performance can be potentially obtained by combining CRA with massive multiple input multiple output (MIMO). In this paper we provide an analysis of such schemes focusing on the effects of imperfect channel estimation on successive interference cancellation. Based on the analysis we then propose an innovative signal processing algorithm for CRA in massive MIMO systems.




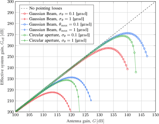
Abstract:Owing to the extremely narrow beams, a main issue in optical deep space communications is represented by miss-pointing errors, which may severely degrade the system performance and availability. In this paper, we address pointing losses in the case in which both the receiver and the transmitter are affected by angular errors. Pointing losses are evaluated through two approaches. The first approach is deterministic and only requires knowledge of a maximum angular error. The second approach requires knowledge of the angular error statistical distribution and tackles the problem from an outage probability viewpoint. These tools are then applied to analyze the impact of pointing losses in deep space optical links in which both terminals suffer from miss-pointing effects. The antenna gains are first optimized to maximize the effective system gain. The optimum antenna gains are then applied to evaluate maximum achievable ranges and to perform link design by means of optical link budgets.