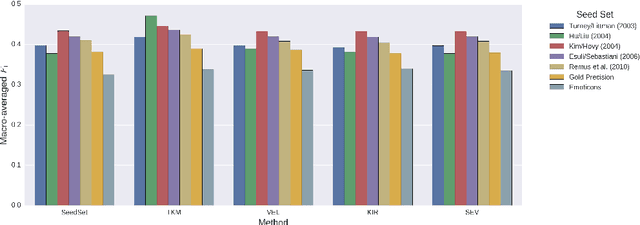
FAW Ulm and University of Toronto
Abstract:Argumentation mining comprises several subtasks, among which stance classification focuses on identifying the standpoint expressed in an argumentative text toward a specific target topic. While arguments-especially about controversial topics-often appeal to emotions, most prior work has not systematically incorporated explicit, fine-grained emotion analysis to improve performance on this task. In particular, prior research on stance classification has predominantly utilized non-argumentative texts and has been restricted to specific domains or topics, limiting generalizability. We work on five datasets from diverse domains encompassing a range of controversial topics and present an approach for expanding the Bias-Corrected NRC Emotion Lexicon using DistilBERT embeddings, which we feed into a Neural Argumentative Stance Classification model. Our method systematically expands the emotion lexicon through contextualized embeddings to identify emotionally charged terms not previously captured in the lexicon. Our expanded NRC lexicon (eNRC) improves over the baseline across all five datasets (up to +6.2 percentage points in F1 score), outperforms the original NRC on four datasets (up to +3.0), and surpasses the LLM-based approach on nearly all corpora. We provide all resources-including eNRC, the adapted corpora, and model architecture-to enable other researchers to build upon our work.
Abstract:We explore the capability of four open-sourcelarge language models (LLMs) in argumentation mining (AM). We conduct experiments on three different corpora; persuasive essays(PE), argumentative microtexts (AMT) Part 1 and Part 2, based on two argumentation mining sub-tasks: (i) argumentative discourse units classifications (ADUC), and (ii) argumentative relation classification (ARC). This work aims to assess the argumentation capability of open-source LLMs, including Mistral 7B, Mixtral8x7B, LlamA2 7B and LlamA3 8B in both, zero-shot and few-shot scenarios. Our analysis contributes to further assessing computational argumentation with open-source LLMs in future research efforts.




Abstract:Despite a substantial progress made in developing new sentiment lexicon generation (SLG) methods for English, the task of transferring these approaches to other languages and domains in a sound way still remains open. In this paper, we contribute to the solution of this problem by systematically comparing semi-automatic translations of common English polarity lists with the results of the original automatic SLG algorithms, which were applied directly to German data. We evaluate these lexicons on a corpus of 7,992 manually annotated tweets. In addition to that, we also collate the results of dictionary- and corpus-based SLG methods in order to find out which of these paradigms is better suited for the inherently noisy domain of social media. Our experiments show that semi-automatic translations notably outperform automatic systems (reaching a macro-averaged F1-score of 0.589), and that dictionary-based techniques produce much better polarity lists as compared to corpus-based approaches (whose best F1-scores run up to 0.479 and 0.419 respectively) even for the non-standard Twitter genre.


Abstract:In order to generate cohesive discourse, many of the relations holding between text segments need to be signalled to the reader by means of cue words, or {\em discourse markers}. Programs usually do this in a simplistic way, e.g., by using one marker per relation. In reality, however, language offers a very wide range of markers from which informed choices should be made. In order to account for the variety and to identify the parameters governing the choices, detailled linguistic analyses are necessary. We worked with one area of discourse relations, the Concession family, identified its underlying pragmatics and semantics, and undertook extensive corpus studies to examine the range of markers used in both English and German. On the basis of an initial classification of these markers, we propose a generation model for producing bilingual text that can incorporate marker choice into its overall decision framework.

Abstract:TECHDOC is an implemented system demonstrating the feasibility of generating multilingual technical documents on the basis of a language-independent knowledge base. Its application domain is user and maintenance instructions, which are produced from underlying plan structures representing the activities, the participating objects with their properties, relations, and so on. This paper gives a brief outline of the system architecture and discusses some recent developments in the project: the addition of actual event simulation in the KB, steps towards a document authoring tool, and a multimodal user interface. (slightly corrected version of a paper to appear in: COLING 94, Proceedings)