Gauss-Olbers Center, c/o University of Bremen, Dept. of Communications Engineering




Abstract:The rapid growth of non-terrestrial communication necessitates its integration with existing terrestrial networks, as highlighted in 3GPP Releases 16 and 17. This paper analyses the concept of functional splits in 3D-Networks. To manage this complex structure effectively, the adoption of a Radio Access Network (RAN) architecture with Functional Split (FS) offers advantages in flexibility, scalability, and cost-efficiency. RAN achieves this by disaggregating functionalities into three separate units. Analogous to the terrestrial network approach, 3GPP is extending this concept to non-terrestrial platforms as well. This work presents a general analysis of the requested Fronthaul (FH) data rate on feeder link between a non-terrestrial platform and the ground-station. Each split option is a trade-of between FH data rate and the respected complexity. Since flying nodes face more limitations regarding power consumption and complexity on board in comparison to terrestrial ones, we are investigating the split options between lower and higher physical layer.




Abstract:Low Earth Orbit (LEO) satellite-to-handheld connections herald a new era in satellite communications. Space-Division Multiple Access (SDMA) precoding is a method that mitigates interference among satellite beams, boosting spectral efficiency. While optimal SDMA precoding solutions have been proposed for ideal channel knowledge in various scenarios, addressing robust precoding with imperfect channel information has primarily been limited to simplified models. However, these models might not capture the complexity of LEO satellite applications. We use the Soft Actor-Critic (SAC) deep Reinforcement Learning (RL) method to learn robust precoding strategies without the need for explicit insights into the system conditions and imperfections. Our results show flexibility to adapt to arbitrary system configurations while performing strongly in terms of achievable rate and robustness to disruptive influences compared to analytical benchmark precoders.




Abstract:Direct Low Earth Orbit satellite-to-handheld links are expected to be part of a new era in satellite communications. Space-Division Multiple Access precoding is a technique that reduces interference among satellite beams, therefore increasing spectral efficiency by allowing cooperating satellites to reuse frequency. Over the past decades, optimal precoding solutions with perfect channel state information have been proposed for several scenarios, whereas robust precoding with only imperfect channel state information has been mostly studied for simplified models. In particular, for Low Earth Orbit satellite applications such simplified models might not be accurate. In this paper, we use the function approximation capabilities of the Soft Actor-Critic deep Reinforcement Learning algorithm to learn robust precoding with no knowledge of the system imperfections.




Abstract:The uplink from a very small aperture terminal (VSAT) towards multiple satellites is considered, in this paper. VSATs can be equipped with multiple antennas, allowing parallel transmission to multiple satellites. A low-complexity precoder based on imperfect positional information of the satellites is presented. The probability distribution of the position uncertainty and the statistics of the channel elements are related by the characteristic function of the position uncertainty. This knowledge is included in the precoder design to maximize the mean signal-to-leakage-and-noise ratio (SLNR) at the satellites. Furthermore, the performance w.r.t. the inter-satellite distance is numerically evaluated. It is shown that the proposed approach achieves the capacity for perfect position knowledge and sufficiently large inter-satellite distances. In case of imperfect position knowledge, the performance degradation of the robust precoder is relatively small.
Abstract:Low Earth orbit (LEO) satellite systems enable close to global coverage and are therefore expected to become important pillars of future communication standards. However, a particular challenge faced by LEO satellites is the high orbital velocities due to which a precise channel estimation is difficult. We model this influence as an erroneous angle of departure (AoD), which corresponds to imperfect channel state information (CSI) at the transmitter (CSIT). Poor CSIT and non-orthogonal user channels degrade the performance of space-division multiple access (SDMA) precoding by increasing inter-user interference (IUI). In contrast to SDMA, there is no IUI in orthogonal multiple access (OMA), but it requires orthogonal time or frequency resources for each user. Rate-splitting multiple access (RSMA), unifying SDMA, OMA, and non-orthogonal multiple access (NOMA), has recently been proven to be a flexible approach for robust interference management considering imperfect CSIT. In this paper, we investigate RSMA as a promising strategy to manage IUI in LEO satellite downlink systems caused by non-orthogonal user channels as well as imperfect CSIT. We evaluate the optimal configuration of RSMA depending on the geometrical constellation between the satellite and users.




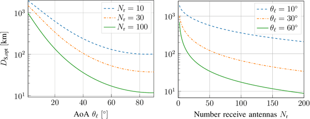
Abstract:In this paper, we propose a novel approach for downlink transmission from a satellite swarm towards a ground station (GS). These swarms have the benefit of much higher spatial separation in the transmit antennas than traditional big satellites with antenna arrays, promising a massive increase in spectral efficiency. The resulting precoder and equalizer have very low demands on computational complexity, inter-satellite coordination and channel estimation. This is achieved by taking knowledge about the geometry between satellites and GS into account. For precoding, each satellite only requires its angle of departure (AoD) towards the GS and it turns out that almost optimal data rates can be achieved if the satellites transmit independent data streams. For the equalizer, the GS requires only knowledge about the angles of arrival (AoAs) from all satellites. Based on the underlying geometrical channel approximation, the optimal inter-satellite distance is obtained analytically. We show, that, by choosing a proper inter-satellite distance, the proposed low-complexity approach achieves the theoretical upper bound in terms of data rate. Furthermore, a novel approach to increase the robustness of the proposed precoder and equalizer against imperfect AoD and AoA knowledge is proposed, by exploiting the statistics of the estimation error.




Abstract:Non-geostationary orbit (NGSO) satellite constellations represent a cornerstone in the NewSpace paradigm and thus have become one of the hottest topics for the industry, academia, but also for national space agencies and regulators. For instance, numerous companies worldwide, including Starlink, OneWeb, Kepler, SPUTNIX, and Amazon have started or will soon start to deploy their own NGSO constellations, which aim to provide either broadband or IoT services. One of the major drivers for such a high interest on NGSO constellations is that, with an appropriate design, they are capable of providing global coverage and connectivity.




Abstract:Systems of small distributed satellites in low Earth orbit (LEO) transmitting cooperatively to a multiple antenna ground station (GS) are investigated. These satellite swarms have the benefit of much higher spatial separation in the transmit antennas than traditional big satellites with antenna arrays, promising a massive increase in spectral efficiency. However, this would require instantaneous perfect channel state information (CSI) and strong cooperation between satellites. In practice, orbital velocities around 7.5 km/s lead to very short channel coherence times on the order of fractions of the inter-satellite propagation delay, invalidating these assumptions. In this paper, we propose a distributed linear precoding scheme and a GS equalizer relying on local position information. In particular, each satellite only requires information about its own position and that of the GS, while the GS has complete positional information. Due to the deterministic nature of satellite movement this information is easily obtained and no inter-satellite information exchange is required during transmission. Based on the underlying geometrical channel approximation, the optimal inter-satellite distance is obtained analytically. Numerical evaluations show that the proposed scheme is, on average, within 99.8% of the maximum achievable rate for instantaneous CSI and perfect cooperation