Abstract:Estimating the position of a speech source based on time-differences-of-arrival (TDOAs) is often adversely affected by background noise and reverberation. A popular method to estimate the TDOA between a microphone pair involves maximizing a generalized cross-correlation with phase transform (GCC-PHAT) function. Since the TDOAs across different microphone pairs satisfy consistency relations, generally only a small subset of microphone pairs are used for source position estimation. Although the set of microphone pairs is often determined based on a reference microphone, recently a more robust method has been proposed to determine the set of microphone pairs by computing the minimum spanning tree (MST) of a signal graph of GCC-PHAT function reliabilities. To reduce the influence of noise and reverberation on the TDOA estimation accuracy, in this paper we propose to compute the GCC-PHAT functions of the MST based on an average of multiple cross-power spectral densities (CPSDs) using an incremental method. In each step of the method, we increase the number of CPSDs over which we average by considering CPSDs computed indirectly via other microphones from previous steps. Using signals recorded in a noisy and reverberant laboratory with an array of spatially distributed microphones, the performance of the proposed method is evaluated in terms of TDOA estimation error and 2D source position estimation error. Experimental results for different source and microphone configurations and three reverberation conditions show that the proposed method considering multiple CPSDs improves the TDOA estimation and source position estimation accuracy compared to the reference microphone- and MST-based methods that rely on a single CPSD as well as steered-response power-based source position estimation.



Abstract:In this paper, we propose to simultaneously estimate all the sampling rate offsets (SROs) of multiple devices. In a distributed microphone array, the SRO is inevitable, which deteriorates the performance of array signal processing. Most of the existing SRO estimation methods focused on synchronizing two microphones. When synchronizing more than two microphones, we select one reference microphone and estimate the SRO of each non-reference microphone independently. Hence, the relationship among signals observed by non-reference microphones is not considered. To address this problem, the proposed method jointly optimizes all SROs based on a probabilistic model of a multichannel signal. The SROs and model parameters are alternately updated to increase the log-likelihood based on an auxiliary function. The effectiveness of the proposed method is validated on mixtures of various numbers of speakers.




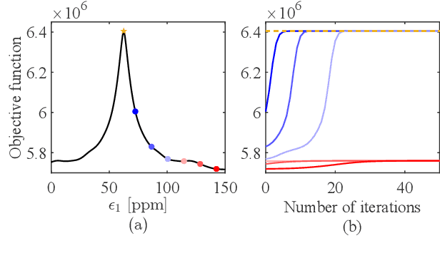
Abstract:In this paper, we propose a new algorithm for the estimation of multiple time delays (TDs). Since a TD is a fundamental spatial cue for sensor array signal processing techniques, many methods for estimating it have been studied. Most of them, including generalized cross correlation (CC)-based methods, focus on how to estimate a TD between two sensors. These methods can then be easily adapted for multiple TDs by applying them to every pair of a reference sensor and another one. However, these pairwise methods can use only the partial information obtained by the selected sensors, resulting in inconsistent TD estimates and limited estimation accuracy. In contrast, we propose joint optimization of entire TD parameters, where spatial information obtained from all sensors is taken into account. We also introduce a consistent constraint regarding TD parameters to the observation model. We then consider a multidimensional CC (MCC) as the objective function, which is derived on the basis of maximum likelihood estimation. To maximize the MCC, which is a nonconvex function, we derive the auxiliary function for the MCC and design efficient update rules. We additionally estimate the amplitudes of the transfer functions for supporting the TD estimation, where we maximize the Rayleigh quotient under the non-negative constraint. We experimentally analyze essential features of the proposed method and evaluate its effectiveness in TD estimation. Code will be available at https://github.com/onolab-tmu/AuxTDE.