

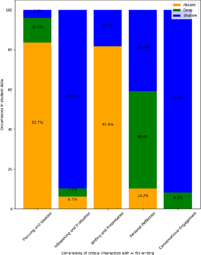
Abstract:Artificial Intelligence (AI) has become a ubiquitous part of society, but a key challenge exists in ensuring that humans are equipped with the required critical thinking and AI literacy skills to interact with machines effectively by understanding their capabilities and limitations. These skills are particularly important for learners to develop in the age of generative AI where AI tools can demonstrate complex knowledge and ability previously thought to be uniquely human. To activate effective human-AI partnerships in writing, this paper provides a first step toward conceptualizing the notion of critical learner interaction with AI. Using both theoretical models and empirical data, our preliminary findings suggest a general lack of Deep interaction with AI during the writing process. We believe that the outcomes can lead to better task and tool design in the future for learners to develop deep, critical thinking when interacting with AI.


Abstract:In the decade since 2010, successes in artificial intelligence have been at the forefront of computer science and technology, and vector space models have solidified a position at the forefront of artificial intelligence. At the same time, quantum computers have become much more powerful, and announcements of major advances are frequently in the news. The mathematical techniques underlying both these areas have more in common than is sometimes realized. Vector spaces took a position at the axiomatic heart of quantum mechanics in the 1930s, and this adoption was a key motivation for the derivation of logic and probability from the linear geometry of vector spaces. Quantum interactions between particles are modelled using the tensor product, which is also used to express objects and operations in artificial neural networks. This paper describes some of these common mathematical areas, including examples of how they are used in artificial intelligence (AI), particularly in automated reasoning and natural language processing (NLP). Techniques discussed include vector spaces, scalar products, subspaces and implication, orthogonal projection and negation, dual vectors, density matrices, positive operators, and tensor products. Application areas include information retrieval, categorization and implication, modelling word-senses and disambiguation, inference in knowledge bases, and semantic composition. Some of these approaches can potentially be implemented on quantum hardware. Many of the practical steps in this implementation are in early stages, and some are already realized. Explaining some of the common mathematical tools can help researchers in both AI and quantum computing further exploit these overlaps, recognizing and exploring new directions along the way.




Abstract:Conceptual combination performs a fundamental role in creating the broad range of compound phrases utilized in everyday language. This article provides a novel probabilistic framework for assessing whether the semantics of conceptual combinations are compositional, and so can be considered as a function of the semantics of the constituent concepts, or not. While the systematicity and productivity of language provide a strong argument in favor of assuming compositionality, this very assumption is still regularly questioned in both cognitive science and philosophy. Additionally, the principle of semantic compositionality is underspecified, which means that notions of both "strong" and "weak" compositionality appear in the literature. Rather than adjudicating between different grades of compositionality, the framework presented here contributes formal methods for determining a clear dividing line between compositional and non-compositional semantics. In addition, we suggest that the distinction between these is contextually sensitive. Utilizing formal frameworks developed for analyzing composite systems in quantum theory, we present two methods that allow the semantics of conceptual combinations to be classified as "compositional" or "non-compositional". Compositionality is first formalised by factorising the joint probability distribution modeling the combination, where the terms in the factorisation correspond to individual concepts. This leads to the necessary and sufficient condition for the joint probability distribution to exist. A failure to meet this condition implies that the underlying concepts cannot be modeled in a single probability space when considering their combination, and the combination is thus deemed "non-compositional". The formal analysis methods are demonstrated by applying them to an empirical study of twenty-four non-lexicalised conceptual combinations.



Abstract:At the core of our uniquely human cognitive abilities is the capacity to see things from different perspectives, or to place them in a new context. We propose that this was made possible by two cognitive transitions. First, the large brain of Homo erectus facilitated the onset of recursive recall: the ability to string thoughts together into a stream of potentially abstract or imaginative thought. This hypothesis is supported by a set of computational models where an artificial society of agents evolved to generate more diverse and valuable cultural outputs under conditions of recursive recall. We propose that the capacity to see things in context arose much later, following the appearance of anatomically modern humans. This second transition was brought on by the onset of contextual focus: the capacity to shift between a minimally contextual analytic mode of thought, and a highly contextual associative mode of thought, conducive to combining concepts in new ways and 'breaking out of a rut'. When contextual focus is implemented in an art-generating computer program, the resulting artworks are seen as more creative and appealing. We summarize how both transitions can be modeled using a theory of concepts which highlights the manner in which different contexts can lead to modern humans attributing very different meanings to the interpretation of one concept.