



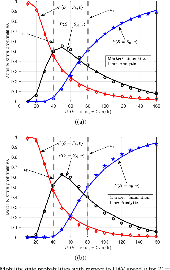
Abstract:To ensure reliable and effective mobility management for aerial user equipment (UE), estimating the speed of cellular-connected unmanned aerial vehicles (UAVs) carries critical importance since this can help to improve the quality of service of the cellular network. The 3GPP LTE standard uses the number of handovers made by a UE during a predefined time period to estimate the speed and the mobility state efficiently. In this paper, we introduce an approximation to the probability mass function of handover count (HOC) as a function of a cellular-connected UAV's height and velocity, HOC measurement time window, and different ground base station (GBS) densities. Afterward, we derive the Cramer-Rao lower bound (CRLB) for the speed estimate of a UAV, and also provide a simple biased estimator for the UAV's speed which depends on the GBS density and HOC measurement period. Interestingly, for a low time-to-trigger (TTT) parameter, the biased estimator turns into a minimum variance unbiased estimator (MVUE). By exploiting this speed estimator, we study the problem of detecting the mobility state of a UAV as low, medium, or high mobility as per the LTE specifications. Using CRLBs and our proposed MVUE, we characterize the accuracy improvement in speed estimation and mobility state detection as the GBS density and the HOC measurement window increase. Our analysis also shows that the accuracy of the proposed estimator does not vary significantly with respect to the TTT parameter.