



Abstract:Excitable optoelectronic devices represent one of the key building blocks for implementation of artificial spiking neurons in neuromorphic (brain-inspired) photonic systems. This work introduces and experimentally investigates an opto-electro-optical (O/E/O) artificial neuron built with a resonant tunnelling diode (RTD) coupled to a photodetector as a receiver and a vertical cavity surface emitting laser as a the transmitter. We demonstrate a well defined excitability threshold, above which this neuron produces 100 ns optical spiking responses with characteristic neural-like refractory period. We utilise its fan-in capability to perform in-device coincidence detection (logical AND) and exclusive logical OR (XOR) tasks. These results provide first experimental validation of deterministic triggering and tasks in an RTD-based spiking optoelectronic neuron with both input and output optical (I/O) terminals. Furthermore, we also investigate in theory the prospects of the proposed system for its nanophotonic implementation with a monolithic design combining a nanoscale RTD element and a nanolaser; therefore demonstrating the potential of integrated RTD-based excitable nodes for low footprint, high-speed optoelectronic spiking neurons in future neuromorphic photonic hardware.




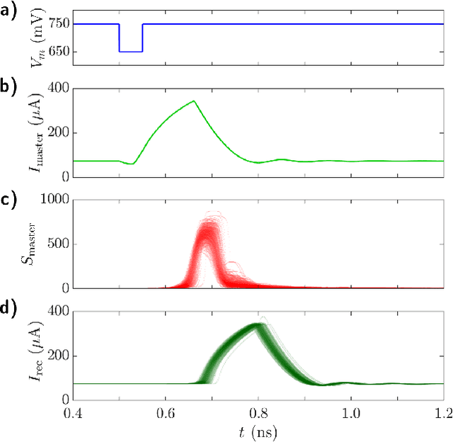
Abstract:In this work, we introduce an optoelectronic spiking artificial neuron capable of operating at ultrafast rates ($\approx$ 100 ps/optical spike) and with low energy consumption ($<$ pJ/spike). The proposed system combines an excitable resonant tunnelling diode (RTD) element exhibiting negative differential conductance, coupled to a nanoscale light source (forming a master node) or a photodetector (forming a receiver node). We study numerically the spiking dynamical responses and information propagation functionality of an interconnected master-receiver RTD node system. Using the key functionality of pulse thresholding and integration, we utilize a single node to classify sequential pulse patterns and perform convolutional functionality for image feature (edge) recognition. We also demonstrate an optically-interconnected spiking neural network model for processing of spatiotemporal data at over 10 Gbps with high inference accuracy. Finally, we demonstrate an off-chip supervised learning approach utilizing spike-timing dependent plasticity for the RTD-enabled photonic spiking neural network. These results demonstrate the potential and viability of RTD spiking nodes for low footprint, low energy, high-speed optoelectronic realization of neuromorphic hardware.