



Abstract:In 2020 Bang-Jensen et. al. generalized the Haj\'os join of two graphs to the class of digraphs and generalized several results for vertex colorings in digraphs. Although, as a consequence of these results, a digraph can be obtained by Haj\'os constructions (directed Haj\'os join and identifying non-adjacent vertices), determining the Haj\'os constructions to obtain the digraph is a complex problem. In particular, Bang-Jensen et. al. posed the problem of determining the Haj\'os operations to construct the symmetric 5-cycle from the complete symmetric digraph of order 3 using only Haj\'os constructions. We successfully adapted a rank-based genetic algorithm to solve this problem by the introduction of innovative recombination and mutation operators from Graph Theory. The Haj\'os Join became the recombination operator and the identification of independent vertices became the mutation operator. In this way, we were able to obtain a sequence of only 16 Haj\'os operations to construct the symmetric cycle of order 5.




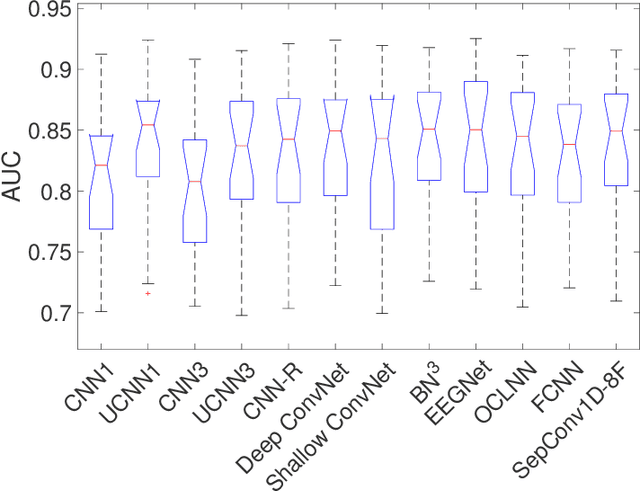
Abstract:In this paper, we aim to provide elements to contribute to the discussion about the usefulness of deep CNNs with several filters to solve both within-subject and cross-subject classification for single-trial P300 detection. To that end, we present SepConv1D, a simple Convolutional Neural Network architecture consisting of a depthwise separable 1D convolutional block followed by a Sigmoid classification block. Additionally, we present a one-layer Fully-Connected Neural Network with two neurons in the hidden layer to show the unnecessary of having complex architectures to solve the problem under analysis. We compare their performances against CNN-based state-of-the-art architectures. The experiments did not show a statistically significant difference between their AUC. Moreover, SepConv1D has the lowest number of parameters of all by far. This is important because simpler, cheaper, faster and, thus, more portable devices can be built.