



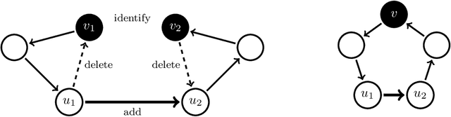
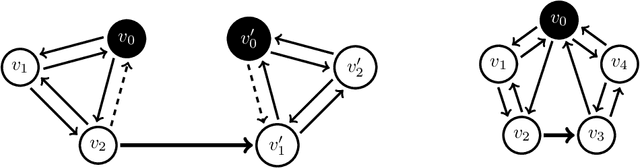
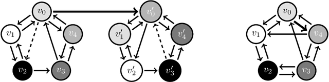
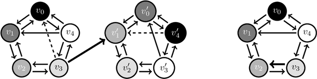
In 2020 Bang-Jensen et. al. generalized the Haj\'os join of two graphs to the class of digraphs and generalized several results for vertex colorings in digraphs. Although, as a consequence of these results, a digraph can be obtained by Haj\'os constructions (directed Haj\'os join and identifying non-adjacent vertices), determining the Haj\'os constructions to obtain the digraph is a complex problem. In particular, Bang-Jensen et. al. posed the problem of determining the Haj\'os operations to construct the symmetric 5-cycle from the complete symmetric digraph of order 3 using only Haj\'os constructions. We successfully adapted a rank-based genetic algorithm to solve this problem by the introduction of innovative recombination and mutation operators from Graph Theory. The Haj\'os Join became the recombination operator and the identification of independent vertices became the mutation operator. In this way, we were able to obtain a sequence of only 16 Haj\'os operations to construct the symmetric cycle of order 5.