



Abstract:Detecting faults and SLA violations in a timely manner is critical for telecom providers, in order to avoid loss in business, revenue and reputation. At the same time predicting SLA violations for user services in telecom environments is difficult, due to time-varying user demands and infrastructure load conditions. In this paper, we propose a service-agnostic online learning approach, whereby the behavior of the system is learned on the fly, in order to predict client-side SLA violations. The approach uses device-level metrics, which are collected in a streaming fashion on the server side. Our results show that the approach can produce highly accurate predictions (>90% classification accuracy and < 10% false alarm rate) in scenarios where SLA violations are predicted for a video-on-demand service under changing load patterns. The paper also highlight the limitations of traditional offline learning methods, which perform significantly worse in many of the considered scenarios.




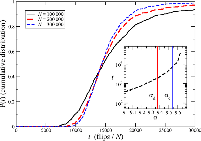
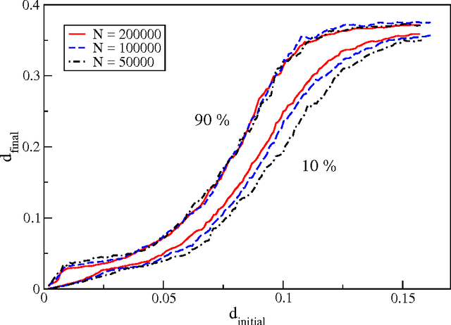
Abstract:We study the performance of stochastic local search algorithms for random instances of the $K$-satisfiability ($K$-SAT) problem. We introduce a new stochastic local search algorithm, ChainSAT, which moves in the energy landscape of a problem instance by {\em never going upwards} in energy. ChainSAT is a \emph{focused} algorithm in the sense that it considers only variables occurring in unsatisfied clauses. We show by extensive numerical investigations that ChainSAT and other focused algorithms solve large $K$-SAT instances almost surely in linear time, up to high clause-to-variable ratios $\alpha$; for example, for K=4 we observe linear-time performance well beyond the recently postulated clustering and condensation transitions in the solution space. The performance of ChainSAT is a surprise given that by design the algorithm gets trapped into the first local energy minimum it encounters, yet no such minima are encountered. We also study the geometry of the solution space as accessed by stochastic local search algorithms.