Abstract:This work investigates near-field focusing using a three-dimensional (3D) large intelligent surface (LIS) across frequencies and polarizations. Specifically, the LIS elements are distributed in 3D space within a long corridor, rather than being confined to a single planar aperture, and the focal point is located at a prescribed position in the radiating near field. By formulating optimization problems under both local and global power constraints, we obtain the corresponding optima. For continuous apertures, the optimal current magnitude distribution matches time-reversal (TR) solution under the global constraint and conjugate-phase (CP) solution when the local constraint dominates. When both constraints are active, the solution assigns larger excitation magnitudes to elements closer to the illumination field. This behavior remains invariant with respect to frequency and polarization for a fixed-size LIS. These findings are consistent to the more practical case of using discretized apertures in the form of Hertzian dipole arrays, studied using both analytical results and full-wave simulation. In addition, with the CP method, specific polarizations lead to identical transverse and longitudinal resolution, in contrast, under the TR method, these quantities can differ across polarizations.
Abstract:This letter presents a near-field flat-top beam synthesis method based on a semi-closed-form approach. First, the feasibility of achieving a flat-top beam in the near field is examined using a closed-form analysis. A circular concentric ring array structure is adopted, and it is observed that circular rings with different radii exhibit distinct gain characteristics along the focal region on the z-axis. Specifically, smaller radii lead to a monotonic increase in electric field strength near the focus, whereas larger radii result in a monotonic decrease. Based on this behavior, parameters such as the number of rings and the initial radius are determined through field superposition. Subsequently, an optimization algorithm is employed to fine-tune the excitation amplitudes of the individual rings in order to suppress sidelobes. The effectiveness of the proposed method is validated through full-wave electromagnetic simulations.




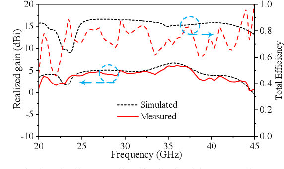
Abstract:To facilitate vehicle coverage for millimeter-wave applications, this communication presents a low-cost, wideband tilted-beam antenna. A novel design is proposed in which a slot antenna is both directly excited and electromagnetically coupled to a monopole array. This slot-monopole configuration is inherently robust against substrate losses, enabling low-cost fabrication while maintaining high realized gain and compact size. Furthermore, the slot-fed structure effectively excites multiple resonant modes within the monopole array, resulting in a significantly enhanced bandwidth. Experimental results demonstrate that the antenna achieves a -10-dB impedance bandwidth of over 76.5% (20-44.78 GHz) and a peak realized gain of 6.1 dBi.
Abstract:Large intelligent surface (LIS) is one promising path to leverage 6G performance in sub-10 GHz bands. This two-part paper explores the properties of phase-conjugation focusing for a simplified LIS setup with a two-dimensional (2D) circular antenna array and a user antenna located within the array aperture in the same plane. In Part I of this article, we assume vertical polarization for all antenna elements, whereas Part II assumes horizontal polarization. In Part I, we focus on the effect of array radius on the peak gain, 3 dB focusing width, and sidelobes for two types of circular arrays. The numerical results show that the gain minimum is located at the array center. The peak gain varies by less than 0.5 dB for focal points located within 2 from the array center. Similarly, the focal width and sidelobe level are also stable within this region, irrespective of array radius. From 2 from the center to the array edge, the closer proximity of the focal points to some array elements than other elements results in more drastic changes in these NFF properties. Finally, full-wave simulation using Ansys HFSS is used to partially validate the numerical results.
Abstract:In this paper, an efficient near-field beamforming method is proposed to support the large intelligent surfaces (LIS) that are expected to be widely deployed in 6G networks. This approach avoids directly applying convex (CVX) optimization for sparse selection in large-size array matrices, as such methods often lead to excessive computational time due to blind searching to satisfy a series of objective functions. First, based on the objective function, we prioritize a key component and employ the orthogonal matching pursuit (OMP) method to pre-select potential sparse target positions. To ensure focal symmetry, a coordinate mirror symmetry approach is adopted, meaning that selection is performed only in the first quadrant, while the remaining quadrants are determined through mirror symmetry relative to the first quadrant. This significantly reduces computational complexity at an early stage. Next, CVX is applied based on the pre-selected sparse array. Once a predefined threshold is met, a solution is obtained that satisfies the constraints of the beamfocusing. The results demonstrate that, compared with conventional methods, this approach improves efficiency by 15.12 times with 121 elements and 96.73 times with 441 elements. The proposed method demonstrates not only satisfactory performance but also considerable potential as a beam focusing technique for large-scale near-field array systems.
Abstract:In near-field beam focusing for finite-sized arrays, focal shift is a non-negligible issue. The actual focal point often appears closer to the array than the predefined focal distance, significantly degrading the focusing performance of finite aperture arrays. Moreover, when the focus point is scanned across different locations, the degradation becomes even more pronounced, leading not only to positional deviation but also to substantial energy loss. To address this issue, we revisit the problem from the perspective of communication degrees of freedom. We demonstrate that a properly designed sparse array with optimized element spacing can effectively mitigate focal shift while enabling stable control of the focusing height during beam scanning. Simulation results based on dipole antennas with different polarizations and patch antennas validate our findings. Notably, with optimized inter-element distances, the energy distribution across focal points becomes nearly uniform, and highly accurate focusing positions are achieved.




Abstract:A large intelligent surface (LIS) is a promising approach to enhancing 6G performance in sub-10 GHz frequency bands. An analysis of the horizontal dipole linear array reveals that when the array size is sufficiently large, employing the conjugate phase method to excite the antenna elements results in a focal point along the central line of the array that gradually stabilizes at a constant value. The study evaluates the 3dB focal resolution generated by the dipole array for two polarizations. Additionally, the feasibility of generating circularly polarized focal points and the focal displacement under a limited array size are explored. Previous near-field focal synthesis methods primarily considered only the line-of-sight (LOS) channel. To enhance practicality, this study adopts a two-ray channel model to analyze near-field focal synthesis results in the presence of a reflected path. Both two polarizations are discussed separately, with design guidelines provided for array placement and focal point positioning. Finally, electromagnetic simulations are conducted within the linear array to validate the proposed design. These simulations highlight the capability of the horizontal dipole array configuration to be directly applied without significant coupling effects between elements. The proposed design guidelines lay a solid foundation for the application of LIS in 6G technology.
Abstract:Motivated by large intelligent surface applications, the electric field properties of near field focusing using phase conjugation method are analyzed for cylindrical dipole arrays. Firstly, for the transmitting antennas featuring vertical polarization, the polarization characteristic is decomposed along the x, y, and z directions. Three typical cases are studied when the focal points are at (xf , 0, 0), (0, yf , 0), and (0, 0, zf ). When the length of the cylindrical dipole array is significantly larger compared to its radius, certain unique insights emerge. When the focal point is positioned along (0, 0, zf ), apart from the region on both sides, the ratio between Ez and Ex/Ey remains {\pi}/2. Additionally, When the focal point is located within the cylinder, the electric field of each polarization is approximately the same everywhere. In other words, beam focusing does not incur losses due to different positions. The focusing resolution of Ez is the same in the transverse and longitudinal directions. Different from the situation where the 3 - dB focal beam depth is much smaller than the focal beam width for the most of arrays, the resolution in the longitudinal can be improved, respectively. Through a comprehensive grasp of these design principles, we can gain a deeper understanding of the specific areas with significant potential for practical applications.