



Abstract:Modelling the process that a listener actuates in deriving the words intended by a speaker requires setting a hypothesis on how lexical items are stored in memory. This work aims at developing a system that imitates humans when identifying words in running speech and, in this way, provide a framework to better understand human speech processing. We build a speech recognizer for Italian based on the principles of Stevens' model of Lexical Access in which words are stored as hierarchical arrangements of distinctive features (Stevens, K. N. (2002). "Toward a model for lexical access based on acoustic landmarks and distinctive features," J. Acoust. Soc. Am., 111(4):1872-1891). Over the past few decades, the Speech Communication Group at the Massachusetts Institute of Technology (MIT) developed a speech recognition system for English based on this approach. Italian will be the first language beyond English to be explored; the extension to another language provides the opportunity to test the hypothesis that words are represented in memory as a set of hierarchically-arranged distinctive features, and reveal which of the underlying mechanisms may have a language-independent nature. This paper also introduces a new Lexical Access corpus, the LaMIT database, created and labeled specifically for this work, that will be provided freely to the speech research community. Future developments will test the hypothesis that specific acoustic discontinuities - called landmarks - that serve as cues to features, are language independent, while other cues may be language-dependent, with powerful implications for understanding how the human brain recognizes speech.




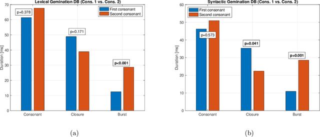
Abstract:Two types of consonant gemination characterize Italian: lexical and syntactic. Italian lexical gemination is contrastive, so that two words may differ by only one geminated consonant. In contrast, syntactic gemination occurs across word boundaries, and affects the initial consonant of a word in specific contexts, such as the presence of a monosyllabic morpheme before the word. This study investigates the acoustic correlates of Italian lexical and syntactic gemination, asking if the correlates for the two types are similar in the case of stop consonants. Results confirmed previous studies showing that duration is a prominent gemination cue, with a lengthened consonant closure and a shortened pre-consonant vowel for both types. Results also revealed the presence, in about 10-12% of instances, of a double stop-release burst, providing strong support for the biphonematic nature of Italian geminated stop consonants. Moreover, the timing of these bursts suggests a different planning process for lexical vs. syntactic geminates. The second burst, when present, is accommodated within the closure interval in syntactic geminates, while lexical geminates are lengthened by the extra burst. This suggests that syntactic gemination occurs during a post-lexical phase of production planning, after timing has already been established.