



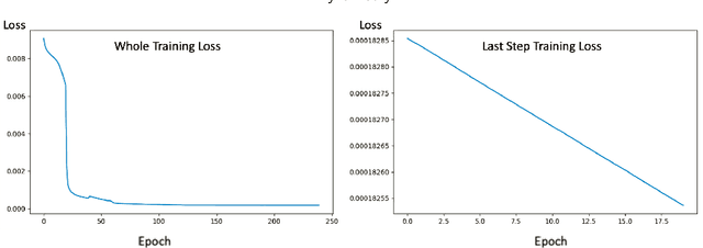
Abstract:In metal Additive Manufacturing (AM), monitoring the temperature of the Melt Pool (MP) is crucial for ensuring part quality, process stability, defect prevention, and overall process optimization. Traditional methods, are slow to converge and require extensive manual effort to translate data into actionable insights, rendering them impractical for real-time monitoring and control. To address this challenge, we propose an Artificial Intelligence (AI)-based solution aimed at reducing manual data processing reliance and improving the efficiency of transitioning from data to insight. In our study, we utilize a dataset comprising dual-wavelength real-time process monitoring data and corresponding temperature maps. We introduce a deep learning model called the "Binocular model," which exploits dual input observations to perform a precise analysis of MP temperature in Laser Powder Bed Fusion (L-PBF). Through advanced deep learning techniques, we seamlessly convert raw data into temperature maps, significantly streamlining the process and enabling batch processing at a rate of up to 750 frames per second, approximately 1000 times faster than conventional methods. Our Binocular model achieves high accuracy in temperature estimation, evidenced by a 0.95 R-squared score, while simultaneously enhancing processing efficiency by a factor of $\sim1000x$ times. This model directly addresses the challenge of real-time MP temperature monitoring and offers insights into the encountered constraints and the benefits of our Deep Learning-based approach. By combining efficiency and precision, our work contributes to the advancement of temperature monitoring in L-PBF, thus driving progress in the field of metal AM.
Abstract:In the era of Industry 4.0, Additive Manufacturing (AM), particularly metal AM, has emerged as a significant contributor due to its innovative and cost-effective approach to fabricate highly intricate geometries. Despite its potential, this industry still lacks real-time capable process monitoring algorithms. Recent advancements in this field suggest that Melt Pool (MP) signatures during the fabrication process contain crucial information about process dynamics and quality. To obtain this information, various sensory approaches, such as high-speed cameras-based vision modules are employed for online fabrication monitoring. However, many conventional in-depth analyses still cannot process all the recorded data simultaneously. Although conventional Image Processing (ImP) solutions provide a targeted tunable approach, they pose a trade-off between convergence certainty and convergence speed. As a result, conventional methods are not suitable for a dynamically changing application like MP monitoring. Therefore, this article proposes the implementation of a Tunable Deep Image Processing (TDIP) method to address the data-rich monitoring needs in real-time. The proposed model is first trained to replicate an ImP algorithm with tunable features and methodology. The TDIP model is then further improved to account for MP geometries and fabrication quality based on the vision input and process parameters. The TDIP model achieved over 94% estimation accuracy with more than 96% R2 score for quality, geometry, and MP signature estimation and isolation. The TDIP model can process 500 images per second, while conventional methods taking a few minutes per image. This significant processing time reduction enables the integration of vision-based monitoring in real-time for processes and quality estimation.