



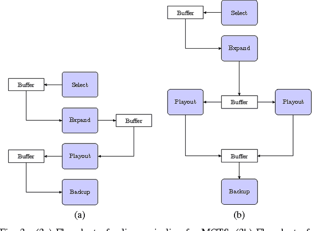
Abstract:In this paper, we present a new algorithm for parallel Monte Carlo tree search (MCTS). It is based on the pipeline pattern and allows flexible management of the control flow of the operations in parallel MCTS. The pipeline pattern provides for the first structured parallel programming approach to MCTS. Moreover, we propose a new lock-free tree data structure for parallel MCTS which removes synchronization overhead. The Pipeline Pattern for Parallel MCTS algorithm (called 3PMCTS), scales very well to higher numbers of cores when compared to the existing methods.




Abstract:Recent results have shown that the MCTS algorithm (a new, adaptive, randomized optimization algorithm) is effective in a remarkably diverse set of applications in Artificial Intelligence, Operations Research, and High Energy Physics. MCTS can find good solutions without domain dependent heuristics, using the UCT formula to balance exploitation and exploration. It has been suggested that the optimum in the exploitation- exploration balance differs for different search tree sizes: small search trees needs more exploitation; large search trees need more exploration. Small search trees occur in variations of MCTS, such as parallel and ensemble approaches. This paper investigates the possibility of improving the performance of Ensemble UCT by increasing the level of exploitation. As the search trees becomes smaller we achieve an improved performance. The results are important for improving the performance of large scale parallelism of MCTS.




Abstract:Simplifying expressions is important to make numerical integration of large expressions from High Energy Physics tractable. To this end, Horner's method can be used. Finding suitable Horner schemes is assumed to be hard, due to the lack of local heuristics. Recently, MCTS was reported to be able to find near optimal schemes. However, several parameters had to be fine-tuned manually. In this work, we investigate the state space properties of Horner schemes and find that the domain is relatively flat and contains only a few local minima. As a result, the Horner space is appropriate to be explored by Stochastic Local Search (SLS), which has only two parameters: the number of iterations (computation time) and the neighborhood structure. We found a suitable neighborhood structure, leaving only the allowed computation time as a parameter. We performed a range of experiments. The results obtained by SLS are similar or better than those obtained by MCTS. Furthermore, we show that SLS obtains the good results at least 10 times faster. Using SLS, we can speed up numerical integration of many real-world large expressions by at least a factor of 24. For High Energy Physics this means that numerical integrations that took weeks can now be done in hours.




Abstract:Advances in high energy physics have created the need to increase computational capacity. Project HEPGAME was composed to address this challenge. One of the issues is that numerical integration of expressions of current interest have millions of terms and takes weeks to compute. We have investigated ways to simplify these expressions, using Horner schemes and common subexpression elimination. Our approach applies MCTS, a search procedure that has been successful in AI. We use it to find near-optimal Horner schemes. Although MCTS finds better solutions, this approach gives rise to two further challenges. (1) MCTS (with UCT) introduces a constant, $C_p$ that governs the balance between exploration and exploitation. This constant has to be tuned manually. (2) There should be more guided exploration at the bottom of the tree, since the current approach reduces the quality of the solution towards the end of the expression. We investigate NMCS (Nested Monte Carlo Search) to address both issues, but find that NMCS is computationally unfeasible for our problem. Then, we modify the MCTS formula by introducing a dynamic exploration-exploitation parameter $T$ that decreases linearly with the iteration number. Consequently, we provide a performance analysis. We observe that a variable $C_p$ solves our domain: it yields more exploration at the bottom and as a result the tuning problem has been simplified. The region in $C_p$ for which good values are found is increased by more than a tenfold. This result encourages us to continue our research to solve other prominent problems in High Energy Physics.




Abstract:In many applications of computer algebra large expressions must be simplified to make repeated numerical evaluations tractable. Previous works presented heuristically guided improvements, e.g., for Horner schemes. The remaining expression is then further reduced by common subexpression elimination. A recent approach successfully applied a relatively new algorithm, Monte Carlo Tree Search (MCTS) with UCT as the selection criterion, to find better variable orderings. Yet, this approach is fit for further improvements since it is sensitive to the so-called exploration-exploitation constant $C_p$ and the number of tree updates $N$. In this paper we propose a new selection criterion called Simulated Annealing UCT (SA-UCT) that has a dynamic exploration-exploitation parameter, which decreases with the iteration number $i$ and thus reduces the importance of exploration over time. First, we provide an intuitive explanation in terms of the exploration-exploitation behavior of the algorithm. Then, we test our algorithm on three large expressions of different origins. We observe that SA-UCT widens the interval of good initial values $C_p$ where best results are achieved. The improvement is large (more than a tenfold) and facilitates the selection of an appropriate $C_p$.