



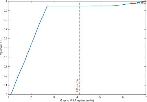
Abstract:Driven by the exponential growth in data traffic and the limitations of Radio Frequency (RF) networks, Optical Wireless Communication (OWC) has emerged as a promising solution for high data rate communication. However, the inherently dynamic nature of OWC environments resulting from user mobility, and time-varying user demands poses significant challenges for enhanced and sustainable performance. Energy efficiency (EE) is a critical metric for the sustainable operation of next generation wireless networks. Achieving high EE in dynamic OWC environments, especially under time-varying user distributions and heterogeneous service requirements, remains a complex task. In this work, we formulate a discrete-time EE optimisation problem in a dynamic OWC to maximise energy efficiency through determining user connectivity and power allocation. Solving this problem in real time is computationally demanding due to the coupling of user association and power allocation variables over discrete time slots. Therefore, we propose a Probabilistic Demand Prediction and Optimised Power Allocation (PDP-OPA) framework which predicts user arrivals, departures, and traffic demands. Based on these predictions, the framework proactively determines AP-user associations and allocates power dynamically using a Lagrangian-based optimisation strategy. Simulation results demonstrate that the proposed PDP-OPA significantly enhances system performance, providing solutions close to the optimal ones. The proposed framework improves energy efficiency, sum rate, and bit error rate (BER) compared to distance-based user association and uniform power allocation, validating its effectiveness for real time and adaptive resource management in dynamic OWC systems.




Abstract:Intelligent reflecting surfaces (IRSs) technology has been considered a promising solution in visible light communication (VLC) systems due to its potential to overcome the line-of-sight (LoS) blockage issue and enhance coverage. Moreover, integrating IRS with a downlink non-orthogonal multiple access (NOMA) transmission technique for multi-users is a smart solution to achieve a high sum rate and improve system performance. In this paper, a dynamic IRS-assisted NOMA-VLC system is modeled, and an optimization problem is formulated to maximize sum energy efficiency (SEE) and fairness among multiple mobile users under power allocation and IRS mirror orientation constraints. Due to the non-convex nature of the optimization problem and the non-linearity of the constraints, conventional optimization methods are impractical for real-time solutions. Therefore, a two-agent deep reinforcement learning (DRL) algorithm is designed for optimizing power allocation and IRS orientation based on centralized training with decentralized execution to obtain fast and real-time solutions in dynamic environments. The results show the superior performance of the proposed DRL algorithm compared to standard DRL algorithms typically used for resource allocation in wireless communication. The results also show that the proposed DRL algorithm achieves higher performance compared to deployments without IRS and with randomly oriented IRS elements.




Abstract:Vertical-cavity surface-emitting lasers (VCSELs) have gained popularity in Optical Wireless Communication (OWC) due to their high bandwidth and directional beam compared to Light-emitting diodes (LEDs). In this work, we explore the deployment of VCSELs as Access Points (APs) in an indoor environment with time-varying user distributions and traffic demands. To enhance performance, a merged access point (MAP) topology is introduced to extend the serving area of each cell using Zero Forcing (ZF) for interference management. A power allocation optimisation problem is formulated aimed at maximising the sum rate of the dynamic network. Deterministic approaches can solve the formulated problem but are impractical for real-time scenarios. In this work, we propose an Artificial Neural Network (ANN) for adaptive power allocation with reduced computational complexity. Our results show that the designed ANN learns and effectively provides instantaneous solutions in dynamic scenarios, resulting in improved performance in terms of sum rate compared to a baseline uniform power allocation scheme.




Abstract:In recent years, there has been a significant expansion in the Internet of Things (IoT), with a growing number of devices being connected to the internet. This has led to an increase in data collection and analysis as well as the development of new technologies and applications. The rise of IoT has also brought about new challenges, such as security concerns and energy efficiency. This study investigates a layered IoT architecture that combines fog and cloud computing, aiming to assess the impact of service placement on energy efficiency. Through simulations, we analyse energy use across Access Fog, Metro Fog, and Cloud Data Centre layers for different IoT request volumes. Findings indicate that Access Fog is optimal for single requests, while Metro Fog efficiently manages higher demands from multiple devices. The study emphasizes the need for adaptive service deployment, responsive to network load variations, to improve energy efficiency. Hence, we propose the implementation of dynamic service placement strategies within Internet of Things (IoT) environments.



Abstract:In this paper, we propose incorporating Optical Wireless Communication (OWC) and Passive Optical Network (PON) technologies into next generation spine-and-leaf Data Centre Networks (DCNs). In this work, OWC systems are used to connect the Data Centre (DC) racks through Wavelength Division Multiplexing (WDM) Infrared (IR) transceivers. The transceivers are placed on top of the racks and at distributed Access Points (APs) in the ceiling. Each transceiver on a rack is connected to a leaf switch that connects the servers within the rack. We replace the spine switches by Optical Line Terminal (OLT) and Network Interface Cards (NIC) in the APs to achieve the desired connectivity. We benchmark the power consumption of the proposed OWC-PON-based spine-and-leaf DC against traditional spine-and-leaf DC and report 46% reduction in the power consumption when considering eight racks.




Abstract:In this paper, we put forward a proof of concept for sixth generation (6G) Terabit infrared (IR) laser-based indoor optical wireless networks. We propose a novel double-tier access point (AP) architecture based on an array of arrays of vertical cavity surface emitting lasers (VCSELs) to provide a seamless grid-of-beam coverage with multi-Gb/s per beam. We present systematic design and thorough analytical modeling of the AP architecture, which are then applied to downlink system modeling using non-imaging angle diversity receivers (ADRs). We propose static beam clustering with coordinated multi-beam joint transmission (CoMB-JT) for network interference management and devise various clustering strategies to address inter-beam interference (IBI) and inter-cluster interference (ICI). Non-orthogonal multiple access (NOMA) and orthogonal frequency division multiple access (OFDMA) schemes are also adopted to handle intra-cluster interference, and the resulting signal-to-interference-plus-noise ratio (SINR) and achievable data rate are derived. The network performance is studied in terms of spatial distributions and statistics of the downlink SINR and data rate through extensive computer simulations. The results demonstrate that data rates up to 15 Gb/s are achieved within the coverage area and a properly devised clustering strikes a balance between the sum rate and fairness depending on the number of users.



Abstract:The increasing demand for wireless networks of higher capacity requires key-enabling technologies. Optical wireless communication (OWC) arises as a complementary technology to radio frequency (RF) systems that can support high aggregate data rates. However, OWC systems face some challenges including beam-blockage. Intelligent reflecting surfaces (IRSs) can offer alternative pathways for the optical signal, ensuring continuous connectivity. In this work, we investigate the potential of using IRS in an indoor OWC network. In particular, we define a system model of indoor OWC that employs IRS in conjunction with angle diversity transmitters (ADT) using vertical-cavity surface-emitting laser (VCSEL) arrays. The VCSEL beam is narrow, directed, and easy to block, however, it can deliver high data rates under eye safety regulations. Simulation results show that the deployment of IRS can significantly improve the achievable data rates of Laser-based OWC systems.



Abstract:Optical wireless communication (OWC) provides high aggregate data rates in the range of Terabits per second (Tb/s). Specifically, OWC using infrared lasers as transmitters has been considered as a strong candidate in the next generation of wireless communication. Rate splitting (RS) is a transmission scheme derived to improve spectral efficiency in dense wireless networks. In RS, the transmitted power is allocated to different messages, common and private messages, serving multiple users simultaneously, where each user can decode the desired message following a certain procedure. Moreover, two-tier precoding RS scheme has been proposed to overcome the limitations of traditional RS in multi-group scenarios. In this context, power allocation (PA) is a crucial issue, which can affect the performance of RS. Therefore, we formulate a PA optimization problem to enhance the data rates of RS-based OWC networks. However, such optimization problems are complex due to the use of different messages intended to the users. In this paper, we design and train a deep neural network (DNN) model to determine the power allocated to the messages of RS, while fulfilling the demands of users. The results show the accuracy of our trained DNN model when used in an online phase.




Abstract:In this paper, we propose applying Non-Orthogonal Multiple Access (NOMA) technology in a multiuser beam steering OWC system. We study the performance of the NOMA-based multiuser beam steering system in terms of the achievable rate and Bit Error Rate (BER). We investigate the impact of the power allocation factor of NOMA and the number of users in the room. The results show that the power allocation factor is a vital parameter in NOMA-based transmission that affects the performance of the network in terms of data rate and BER.




Abstract:This paper proposes using cooperative communication based on optoelectronic (O-E-O) amplify-and-forward relay terminals to reduce the influence of the blockage and shadowing resulting from human movement in a beam steering Optical Wireless Communication (OWC) system. The simulation results indicate that on average, the outage probability of the cooperative communication mode with O-E-O relay terminals is two orders of magnitude lower than the outage probability of the system without relay terminals.