



Abstract:The emerging field of passive macro-scale tile-based self-assembly (TBSA) holds promise for enabling effective manufacturing processes by harnessing TBSA's intrinsic parallelism. However, the current TBSA methodology still does not fulfill its potential, largely because such assemblies are typically error-prone and the size of an individual assembly is limited by a lack of mechanical stability. Moreover, the instability issue becomes worse as assemblies become larger. Here, using a novel type of tile that is carried by a bristle-bot drive, we propose a framework that reverts this tendency; i.e., as an assembly grows, it becomes more stable. Using physics-based computational experiments, we show that a system of such tiles indeed possesses self-stabilizing characteristics and enables building assemblies containing hundreds of tiles. These results indicate that one of the main current limitations of mechanical, agitation-based TBSA approaches might be overcome by employing a swarm of free-running sensorless mobile robots, herein represented by passive tiles at the macroscopic scale.




Abstract:A new procedure based on layered feed-forward neural networks for the microplane material model parameters identification is proposed in the present paper. Novelties are usage of the Latin Hypercube Sampling method for the generation of training sets, a systematic employment of stochastic sensitivity analysis and a genetic algorithm-based training of a neural network by an evolutionary algorithm. Advantages and disadvantages of this approach together with possible extensions are thoroughly discussed and analyzed.




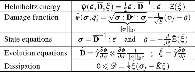
Abstract:In Part I of this paper we have presented a simple model capable of describing the localized failure of a massive structure. In this part, we discuss the identification of the model parameters from two kinds of experiments: a uniaxial tensile test and a three-point bending test. The former is used only for illustration of material parameter response dependence, and we focus mostly upon the latter, discussing the inverse optimization problem for which the specimen is subjected to a heterogeneous stress field.




Abstract:This paper presents comparison of several stochastic optimization algorithms developed by authors in their previous works for the solution of some problems arising in Civil Engineering. The introduced optimization methods are: the integer augmented simulated annealing (IASA), the real-coded augmented simulated annealing (RASA), the differential evolution (DE) in its original fashion developed by R. Storn and K. Price and simplified real-coded differential genetic algorithm (SADE). Each of these methods was developed for some specific optimization problem; namely the Chebychev trial polynomial problem, the so called type 0 function and two engineering problems - the reinforced concrete beam layout and the periodic unit cell problem respectively. Detailed and extensive numerical tests were performed to examine the stability and efficiency of proposed algorithms. The results of our experiments suggest that the performance and robustness of RASA, IASA and SADE methods are comparable, while the DE algorithm performs slightly worse. This fact together with a small number of internal parameters promotes the SADE method as the most robust for practical use.