



Abstract:Ground-penetrating radar (GPR) is a mature geophysical method that has gained increasing popularity in planetary science over the past decade. GPR has been utilised both for Lunar and Martian missions providing pivotal information regarding the near surface geology of Terrestrial planets. Within that context, numerous processing pipelines have been suggested to address the unique challenges present in planetary setups. These processing pipelines often require manual tuning resulting to ambiguous outputs open to non-unique interpretations. These pitfalls combined with the large number of planetary GPR data (kilometers in magnitude), highlight the necessity for automatic, objective and advanced processing and interpretation schemes. The current paper investigates the potential of deep learning for interpreting and processing GPR data. The one-shot multi-offset configuration is investigated via a coherent numerical case study, showcasing the potential of deep learning for A) reconstructing the dielectric distribution of the the near surface of Terrestrial planets, and B) filling missing or bad-quality traces. Special care was taken for the numerical data to be both realistic and challenging. Moreover, the generated synthetic data are properly labelled and made publicly available for training future data-driven pipelines and contributing towards developing pre-trained foundation models for GPR.
Abstract:Craters are amongst the most important morphological features in planetary exploration. To that extent, detecting, mapping and counting craters is a mainstream process in planetary science, done primarily manually, which is a very laborious and time-consuming process. Recently, machine learning (ML) and computer vision have been successfully applied for both detecting craters and estimating their size. Existing ML approaches for automated crater detection have been trained in specific types of data e.g. digital elevation model (DEM), images and associated metadata for orbiters such as the Lunar Reconnaissance Orbiter Camera (LROC) etc.. Due to that, each of the resulting ML schemes is applicable and reliable only to the type of data used during the training process. Data from different sources, angles and setups can compromise the reliability of these ML schemes. In this paper we present a universal crater detection scheme that is based on the recently proposed Segment Anything Model (SAM) from META AI. SAM is a prompt-able segmentation system with zero-shot generalization to unfamiliar objects and images without the need for additional training. Using SAM we can successfully identify crater-looking objects in any type of data (e,g, raw satellite images Level-1 and 2 products, DEMs etc.) for different setups (e.g. Lunar, Mars) and different capturing angles. Moreover, using shape indexes, we only keep the segmentation masks of crater-like features. These masks are subsequently fitted with an ellipse, recovering both the location and the size/geometry of the detected craters.




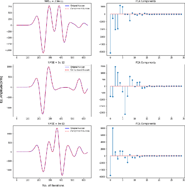
Abstract:General full-wave electromagnetic solvers, such as those utilizing the finite-difference time-domain (FDTD) method, are computationally demanding for simulating practical GPR problems. We explore the performance of a near-real-time, forward modeling approach for GPR that is based on a machine learning (ML) architecture. To ease the process, we have developed a framework that is capable of generating these ML-based forward solvers automatically. The framework uses an innovative training method that combines a predictive dimensionality reduction technique and a large data set of modeled GPR responses from our FDTD simulation software, gprMax. The forward solver is parameterized for a specific GPR application, but the framework can be extended in a straightforward manner to different electromagnetic problems.