



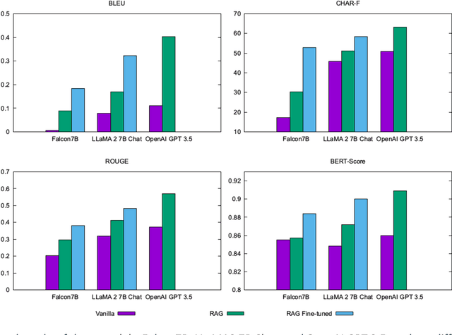
Abstract:Unlike professional caregivers, family caregivers often assume this role without formal preparation or training. Because of this, there is an urgent need to enhance the capacity of family caregivers to provide quality care. Large language models can potentially be used as a foundation technology for supporting caregivers as educational tools or as adjunct to care. This study aimed to develop a reliable Caregiving Language Model (CaLM) by using FMs and a caregiving knowledge base, develop an accessible CaLM using a small FM that requires fewer computing resources, and evaluate the performance of the model compared to a large FM. We developed CaLM using the Retrieval Augmented Generation (RAG) framework combined with FM fine-tuning for improving the quality of FM answers by grounding the model on a caregiving knowledge base. We used two small FMs as candidates for the FM of CaLM (LLaMA-2 and Falcon with 7B parameters) and larger FM GPT-3.5 as a benchmark. We developed the caregiving knowledge base by gathering various types of documents from the Internet. In this study, we focused on caregivers of individuals with Alzheimer's Disease Related Dementias. We evaluated the models' performance using the benchmark metrics commonly used in evaluating language models and their reliability to provide accurate references with the answers. The RAG framework improved the performance of all FMs used in this study across all measures. As expected, the large FM performed better than small FMs across all metrics. The most interesting result is that small fine-tuned FMs with RAG performed significantly better than GPT 3.5 across all metrics. The fine-tuned LLaMA-2 small FM performed better than GPT 3.5 (even with RAG) in returning references with the answers. The study shows that reliable and accessible CaLM can be developed by using small FMs with a knowledge base specific to the caregiving domain.