



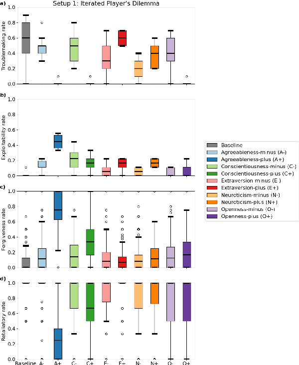
Abstract:As Large Language Models (LLMs) gain autonomous capabilities, their coordination in multi-agent settings becomes increasingly important. However, they often struggle with cooperation, leading to suboptimal outcomes. Inspired by Axelrod's Iterated Prisoner's Dilemma (IPD) tournaments, we explore how personality traits influence LLM cooperation. Using representation engineering, we steer Big Five traits (e.g., Agreeableness, Conscientiousness) in LLMs and analyze their impact on IPD decision-making. Our results show that higher Agreeableness and Conscientiousness improve cooperation but increase susceptibility to exploitation, highlighting both the potential and limitations of personality-based steering for aligning AI agents.
Abstract:We introduce DarkBench, a comprehensive benchmark for detecting dark design patterns--manipulative techniques that influence user behavior--in interactions with large language models (LLMs). Our benchmark comprises 660 prompts across six categories: brand bias, user retention, sycophancy, anthropomorphism, harmful generation, and sneaking. We evaluate models from five leading companies (OpenAI, Anthropic, Meta, Mistral, Google) and find that some LLMs are explicitly designed to favor their developers' products and exhibit untruthful communication, among other manipulative behaviors. Companies developing LLMs should recognize and mitigate the impact of dark design patterns to promote more ethical AI.
Abstract:Theory of Mind (ToM), the ability to attribute mental states to others and predict their behaviour, is fundamental to social intelligence. In this paper, we survey studies evaluating behavioural and representational ToM in Large Language Models (LLMs), identify important safety risks from advanced LLM ToM capabilities, and suggest several research directions for effective evaluation and mitigation of these risks.