



Abstract:Recently, Bjøru et al. proposed a novel divide-and-conquer algorithm for bounding counterfactual probabilities in structural causal models (SCMs). They assumed that the SCMs were learned from purely observational data, leading to an imprecise characterization of the marginal distributions of exogenous variables. Their method leveraged the canonical representation of structural equations to decompose a general SCM with high-cardinality exogenous variables into a set of sub-models with low-cardinality exogenous variables. These sub-models had precise marginals over the exogenous variables and therefore admitted efficient exact inference. The aggregated results were used to bound counterfactual probabilities in the original model. The approach was developed for Markovian models, where each exogenous variable affects only a single endogenous variable. In this paper, we investigate extending the methodology to \textit{semi-Markovian} SCMs, where exogenous variables may influence multiple endogenous variables. Such models are capable of representing confounding relationships that Markovian models cannot. We illustrate the challenges of this extension using a minimal example, which motivates a set of alternative solution strategies. These strategies are evaluated both theoretically and through a computational study.




Abstract:A common issue for machine learning models applied to time-series forecasting is the temporal evolution of the data distributions (i.e., concept drift). Because most of the training data does not reflect such changes, the models present poor performance on the new out-of-distribution scenarios and, therefore, the impact of such events cannot be reliably anticipated ahead of time. We present and publicly release CounterfacTS, a tool to probe the robustness of deep learning models in time-series forecasting tasks via counterfactuals. CounterfacTS has a user-friendly interface that allows the user to visualize, compare and quantify time series data and their forecasts, for a number of datasets and deep learning models. Furthermore, the user can apply various transformations to the time series and explore the resulting changes in the forecasts in an interpretable manner. Through example cases, we illustrate how CounterfacTS can be used to i) identify the main features characterizing and differentiating sets of time series, ii) assess how the model performance depends on these characateristics, and iii) guide transformations of the original time series to create counterfactuals with desired properties for training and increasing the forecasting performance in new regions of the data distribution. We discuss the importance of visualizing and considering the location of the data in a projected feature space to transform time-series and create effective counterfactuals for training the models. Overall, CounterfacTS aids at creating counterfactuals to efficiently explore the impact of hypothetical scenarios not covered by the original data in time-series forecasting tasks.
Abstract:Diffusion models are loosely modelled based on non-equilibrium thermodynamics, where \textit{diffusion} refers to particles flowing from high-concentration regions towards low-concentration regions. In statistics, the meaning is quite similar, namely the process of transforming a complex distribution $p_{\text{complex}}$ on $\mathbb{R}^d$ to a simple distribution $p_{\text{prior}}$ on the same domain. This constitutes a Markov chain of diffusion steps of slowly adding random noise to data, followed by a reverse diffusion process in which the data is reconstructed from the noise. The diffusion model learns the data manifold to which the original and thus the reconstructed data samples belong, by training on a large number of data points. While the diffusion process pushes a data sample off the data manifold, the reverse process finds a trajectory back to the data manifold. Diffusion models have -- unlike variational autoencoder and flow models -- latent variables with the same dimensionality as the original data, and they are currently\footnote{At the time of writing, 2023.} outperforming other approaches -- including Generative Adversarial Networks (GANs) -- to modelling the distribution of, e.g., natural images.
Abstract:An emerging definition of fairness in machine learning requires that models are oblivious to demographic user information, e.g., a user's gender or age should not influence the model. Personalized recommender systems are particularly prone to violating this definition through their explicit user focus and user modelling. Explicit user modelling is also an aspect that makes many recommender systems incapable of providing hitherto unseen users with recommendations. We propose novel approaches for mitigating discrimination in Variational Autoencoder-based recommender systems by limiting the encoding of demographic information. The approaches are capable of, and evaluated on, providing users that are not represented in the training data with fair recommendations.
Abstract:In the current landscape of ever-increasing levels of digitalization, we are facing major challenges pertaining to scalability. Recommender systems have become irreplaceable both for helping users navigate the increasing amounts of data and, conversely, aiding providers in marketing products to interested users. The growing awareness of discrimination in machine learning methods has recently motivated both academia and industry to research how fairness can be ensured in recommender systems. For recommender systems, such issues are well exemplified by occupation recommendation, where biases in historical data may lead to recommender systems relating one gender to lower wages or to the propagation of stereotypes. In particular, consumer-side fairness, which focuses on mitigating discrimination experienced by users of recommender systems, has seen a vast number of diverse approaches for addressing different types of discrimination. The nature of said discrimination depends on the setting and the applied fairness interpretation, of which there are many variations. This survey serves as a systematic overview and discussion of the current research on consumer-side fairness in recommender systems. To that end, a novel taxonomy based on high-level fairness interpretation is proposed and used to categorize the research and their proposed fairness evaluation metrics. Finally, we highlight some suggestions for the future direction of the field.




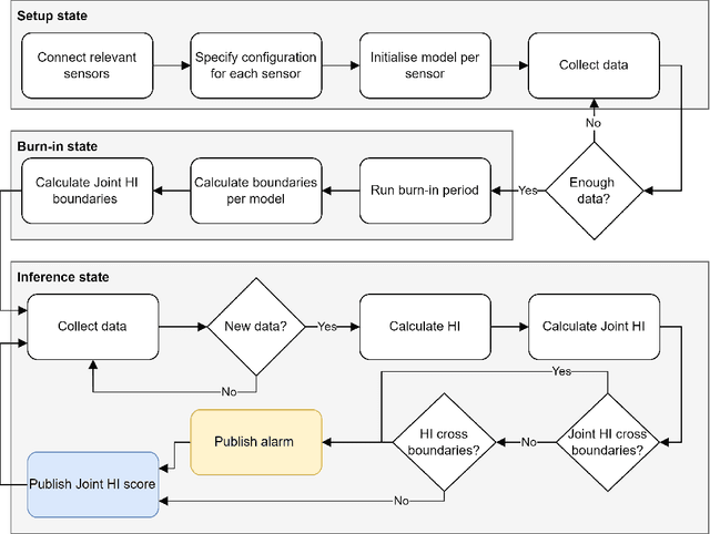
Abstract:Within the field of prognostics and health management (PHM), health indicators (HI) can be used to aid the production and, e.g. schedule maintenance and avoid failures. However, HI is often engineered to a specific process and typically requires large amounts of historical data for set-up. This is especially a challenge for SMEs, which often lack sufficient resources and knowledge to benefit from PHM. In this paper, we propose ModularHI, a modular approach in the construction of HI for a system without historical data. With ModularHI, the operator chooses which sensor inputs are available, and then ModularHI will compute a baseline model based on data collected during a burn-in state. This baseline model will then be used to detect if the system starts to degrade over time. We test the ModularHI on two open datasets, CMAPSS and N-CMAPSS. Results from the former dataset showcase our system's ability to detect degradation, while results from the latter point to directions for further research within the area. The results shows that our novel approach is able to detect system degradation without historical data.




Abstract:Neural networks (NNs) have shown high predictive performance, however, with shortcomings. Firstly, the reasons behind the classifications are not fully understood. Several explanation methods have been developed, but they do not provide mechanisms for users to interact with the explanations. Explanations are social, meaning they are a transfer of knowledge through interactions. Nonetheless, current explanation methods contribute only to one-way communication. Secondly, NNs tend to be overconfident, providing unreasonable uncertainty estimates on out-of-distribution observations. We overcome these difficulties by training a Bayesian convolutional neural network (CNN) that uses explanation feedback. After training, the model presents explanations of training sample classifications to an annotator. Based on the provided information, the annotator can accept or reject the explanations by providing feedback. Our proposed method utilizes this feedback for fine-tuning to correct the model such that the explanations and classifications improve. We use existing CNN architectures to demonstrate the method's effectiveness on one toy dataset (decoy MNIST) and two real-world datasets (Dogs vs. Cats and ISIC skin cancer). The experiments indicate that few annotated explanations and fine-tuning epochs are needed to improve the model and predictive performance, making the model more trustworthy and understandable.




Abstract:Prediction intervals are a machine- and human-interpretable way to represent predictive uncertainty in a regression analysis. In this paper, we present a method for generating prediction intervals along with point estimates from an ensemble of neural networks. We propose a multi-objective loss function fusing quality measures related to prediction intervals and point estimates, and a penalty function, which enforces semantic integrity of the results and stabilizes the training process of the neural networks. The ensembled prediction intervals are aggregated as a split normal mixture accounting for possible multimodality and asymmetricity of the posterior predictive distribution, and resulting in prediction intervals that capture aleatoric and epistemic uncertainty. Our results show that both our quality-driven loss function and our aggregation method contribute to well-calibrated prediction intervals and point estimates.




Abstract:Defining similarity measures is a requirement for some machine learning methods. One such method is case-based reasoning (CBR) where the similarity measure is used to retrieve the stored case or set of cases most similar to the query case. Describing a similarity measure analytically is challenging, even for domain experts working with CBR experts. However, data sets are typically gathered as part of constructing a CBR or machine learning system. These datasets are assumed to contain the features that correctly identify the solution from the problem features, thus they may also contain the knowledge to construct or learn such a similarity measure. The main motivation for this work is to automate the construction of similarity measures using machine learning, while keeping training time as low as possible. Our objective is to investigate how to apply machine learning to effectively learn a similarity measure. Such a learned similarity measure could be used for CBR systems, but also for clustering data in semi-supervised learning, or one-shot learning tasks. Recent work has advanced towards this goal, relies on either very long training times or manually modeling parts of the similarity measure. We created a framework to help us analyze current methods for learning similarity measures. This analysis resulted in two novel similarity measure designs. One design using a pre-trained classifier as basis for a similarity measure. The second design uses as little modeling as possible while learning the similarity measure from data and keeping training time low. Both similarity measures were evaluated on 14 different datasets. The evaluation shows that using a classifier as basis for a similarity measure gives state of the art performance. Finally the evaluation shows that our fully data-driven similarity measure design outperforms state of the art methods while keeping training time low.




Abstract:Recent advances in statistical inference have significantly expanded the toolbox of probabilistic modeling. Historically, probabilistic modeling has been constrained to (i) very restricted model classes where exact or approximate probabilistic inference were feasible, and (ii) small or medium-sized data sets which fit within the main memory of the computer. However, developments in variational inference, a general form of approximate probabilistic inference originated in statistical physics, are allowing probabilistic modeling to overcome these restrictions: (i) Approximate probabilistic inference is now possible over a broad class of probabilistic models containing a large number of parameters, and (ii) scalable inference methods based on stochastic gradient descent and distributed computation engines allow to apply probabilistic modeling over massive data sets. One important practical consequence of these advances is the possibility to include deep neural networks within a probabilistic model to capture complex non-linear stochastic relationships between random variables. These advances in conjunction with the release of novel probabilistic modeling toolboxes have greatly expanded the scope of application of probabilistic models, and allow these models to take advantage of the recent strides made by the deep learning community. In this paper we review the main concepts, methods and tools needed to use deep neural networks within a probabilistic modeling framework.