Abstract:Every time an Interactive Storytelling (IS) system gets a player input, it is facing the world-update problem. Classical approaches to this problem consist in mapping that input to known preprogrammed actions, what can severely constrain the free will of the player. When the expected experience has a strong focus on improvisation, like in Role-playing Games (RPGs), this problem is critical. In this paper we present PAYADOR, a different approach that focuses on predicting the outcomes of the actions instead of representing the actions themselves. To implement this approach, we ground a Large Language Model to a minimal representation of the fictional world, obtaining promising results. We make this contribution open-source, so it can be adapted and used for other related research on unleashing the co-creativity power of RPGs.





Abstract:In role-playing games a Game Master (GM) is the player in charge of the game, who must design the challenges the players face and narrate the outcomes of their actions. In this work we discuss some challenges to model GMs from an Interactive Storytelling and Natural Language Processing perspective. Following those challenges we propose three test categories to evaluate such dialogue systems, and we use them to test ChatGPT, Bard and OpenAssistant as out-of-the-box GMs.





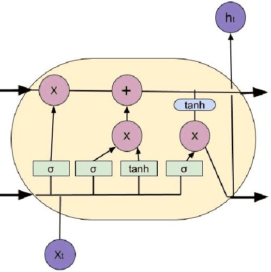
Abstract:Ludwig van Beethoven composed his symphonies between 1799 and 1825, when he was writing his Tenth symphony. As we dispose of a great amount of data belonging to his work, the purpose of this paper is to investigate the possibility of extracting patterns on his compositional model from symbolic data and generate what would have been his last symphony, the Tenth. A neural network model has been built based on the Long Short-Therm Memory (LSTM) neural networks. After training the model, the generated music has been analysed by comparing the input data with the results, and establishing differences between the generated outputs based on the training data used to obtain them. The structure of the outputs strongly depends on the symphonies used to train the network.
