



Abstract:The hidden Markov model (HMM) is a classic modeling tool with a wide swath of applications. Its inception considered observations restricted to a finite alphabet, but it was quickly extended to multivariate continuous distributions. In this article, we further extend the HMM from mixtures of normal distributions in $d$-dimensional Euclidean space to general Gaussian measure mixtures in locally convex topological spaces. The main innovation is the use of the Onsager-Machlup functional as a proxy for the probability density function in infinite dimensional spaces. This allows for choice of a Cameron-Martin space suitable for a given application. We demonstrate the versatility of this methodology by applying it to simulated diffusion processes such as Brownian and fractional Brownian sample paths as well as the Ornstein-Uhlenbeck process. Our methodology is applied to the identification of sleep states from overnight polysomnography time series data with the aim of diagnosing Obstructive Sleep Apnea in pediatric patients. It is also applied to a series of annual cumulative snowfall curves from 1940 to 1990 in the city of Edmonton, Alberta.




Abstract:Sleep apnea is a disorder that has serious consequences for the pediatric population. There has been recent concern that traditional diagnosis of the disorder using the apnea-hypopnea index may be ineffective in capturing its multi-faceted outcomes. In this work, we take a first step in addressing this issue by phenotyping patients using a clustering analysis of airflow time series. This is approached in three ways: using feature-based fuzzy clustering in the time and frequency domains, and using persistent homology to study the signal from a topological perspective. The fuzzy clusters are analyzed in a novel manner using a Dirichlet regression analysis, while the topological approach leverages Takens embedding theorem to study the periodicity properties of the signals.




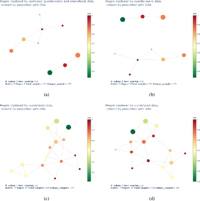
Abstract:Pediatric obstructive sleep apnea affects an estimated 1-5% of elementary-school aged children and can lead to other detrimental health problems. Swift diagnosis and treatment are critical to a child's growth and development, but the variability of symptoms and the complexity of the available data make this a challenge. We take a first step in streamlining the process by focusing on inexpensive data from questionnaires and craniofacial measurements. We apply correlation networks, the Mapper algorithm from topological data analysis, and singular value decomposition in a process of exploratory data analysis. We then apply a variety of supervised and unsupervised learning techniques from statistics, machine learning, and topology, ranging from support vector machines to Bayesian classifiers and manifold learning. Finally, we analyze the results of each of these methods and discuss the implications for a multi-data-sourced algorithm moving forward.




Abstract:Obstructive sleep apnea is a serious condition causing a litany of health problems especially in the pediatric population. However, this chronic condition can be treated if diagnosis is possible. The gold standard for diagnosis is an overnight sleep study, which is often unobtainable by many potentially suffering from this condition. Hence, we attempt to develop a fast non-invasive diagnostic tool by training a classifier on 2D and 3D facial images of a patient to recognize facial features associated with obstructive sleep apnea. In this comparative study, we consider both persistent homology and geometric shape analysis from the field of computational topology as well as convolutional neural networks, a powerful method from deep learning whose success in image and specifically facial recognition has already been demonstrated by computer scientists.