



Abstract:Lateral connections play an important role for sensory processing in visual cortex by supporting discriminable neuronal responses even to highly similar features. In the present work, we show that establishing a biologically inspired Mexican hat lateral connectivity profile along the filter domain can significantly improve the classification accuracy of a variety of lightweight convolutional neural networks without the addition of trainable network parameters. Moreover, we demonstrate that it is possible to analytically determine the stationary distribution of modulated filter activations and thereby avoid using recurrence for modeling temporal dynamics. We furthermore reveal that the Mexican hat connectivity profile has the effect of ordering filters in a sequence resembling the topographic organization of feature selectivity in early visual cortex. In an ordered filter sequence, this profile then sharpens the filters' tuning curves.




Abstract:Harmony in visual compositions is a concept that cannot be defined or easily expressed mathematically, even by humans. The goal of the research described in this paper was to find a numerical representation of artistic compositions with different levels of harmony. We ask humans to rate a collection of grayscale images based on the harmony they convey. To represent the images, a set of special features were designed and extracted. By doing so, it became possible to assign objective measures to subjectively judged compositions. Given the ratings and the extracted features, we utilized machine learning algorithms to evaluate the efficiency of such representations in a harmony classification problem. The best performing model (SVM) achieved 80% accuracy in distinguishing between harmonic and disharmonic images, which reinforces the assumption that concept of harmony can be expressed in a mathematical way that can be assessed by humans.




Abstract:Nowadays, users open multiple accounts on social media platforms and e-commerce sites, expressing their personal preferences on different domains. However, users' behaviors change across domains, depending on the content that users interact with, such as movies, music, clothing and retail products. In this paper, we propose an adaptive deep learning strategy for cross-domain recommendation, referred to as ADC. We design a neural architecture and formulate a cross-domain loss function, to compute the non-linearity in user preferences across domains and transfer the knowledge of users' multiple behaviors, accordingly. In addition, we introduce an efficient algorithm for cross-domain loss balancing which directly tunes gradient magnitudes and adapts the learning rates based on the domains' complexities/scales when training the model via backpropagation. In doing so, ADC controls and adjusts the contribution of each domain when optimizing the model parameters. Our experiments on six publicly available cross-domain recommendation tasks demonstrate the effectiveness of the proposed ADC model over other state-of-the-art methods. Furthermore, we study the effect of the proposed adaptive deep learning strategy and show that ADC can well balance the impact of the domains with different complexities.




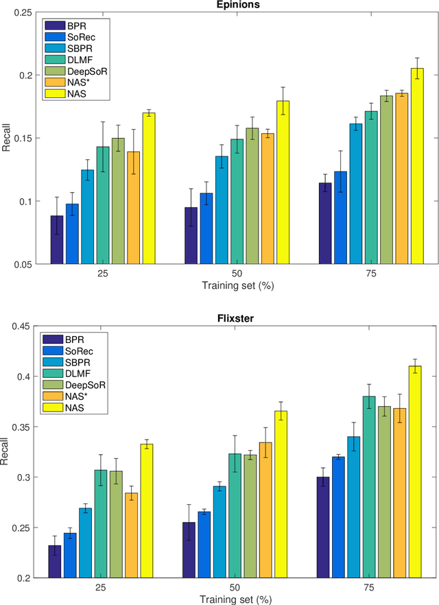
Abstract:Social-based recommendation systems exploit the selections of friends to combat the data sparsity on user preferences, and improve the recommendation accuracy of the collaborative filtering strategy. The main challenge is to capture and weigh friends' preferences, as in practice they do necessarily match. In this paper, we propose a Neural Attention mechanism for Social collaborative filtering, namely NAS. We design a neural architecture, to carefully compute the non-linearity in friends' preferences by taking into account the social latent effects of friends on user behavior. In addition, we introduce a social behavioral attention mechanism to adaptively weigh the influence of friends on user preferences and consequently generate accurate recommendations. Our experiments on publicly available datasets demonstrate the effectiveness of the proposed NAS model over other state-of-the-art methods. Furthermore, we study the effect of the proposed social behavioral attention mechanism and show that it is a key factor to our model's performance.


Abstract:Ecological Momentary Assessment (EMA) data is organized in multiple levels (per-subject, per-day, etc.) and this particular structure should be taken into account in machine learning algorithms used in EMA like decision trees and its variants. We propose a new algorithm called BBT (standing for Bagged Boosted Trees) that is enhanced by a over/under sampling method and can provide better estimates for the conditional class probability function. Experimental results on a real-world dataset show that BBT can benefit EMA data classification and performance.




Abstract:Self-Organizing Map (SOM) is a neural network model which is used to obtain a topology-preserving mapping from the (usually high dimensional) input/feature space to an output/map space of fewer dimensions (usually two or three in order to facilitate visualization). Neurons in the output space are connected with each other but this structure remains fixed throughout training and learning is achieved through the updating of neuron reference vectors in feature space. Despite the fact that growing variants of SOM overcome the fixed structure limitation they increase computational cost and also do not allow the removal of a neuron after its introduction. In this paper, a variant of SOM is proposed called AMSOM (Adaptive Moving Self-Organizing Map) that on the one hand creates a more flexible structure where neuron positions are dynamically altered during training and on the other hand tackles the drawback of having a predefined grid by allowing neuron addition and/or removal during training. Experiments using multiple literature datasets show that the proposed method improves training performance of SOM, leads to a better visualization of the input dataset and provides a framework for determining the optimal number and structure of neurons.