



Abstract:A software-defined optical receiver is implemented on an off-the-shelf commercial graphics processing unit (GPU). The receiver provides real-time signal processing functionality to process 1 GBaud minimum phase (MP) 4-, 8-, 16-, 32-, 64-, 128-ary quadrature amplitude modulation (QAM) as well as geometrically shaped (GS) 8- and 128-QAM signals using Kramers-Kronig (KK) coherent detection. Experimental validation of this receiver over a 91 km field-deployed optical fiber link between two Tokyo locations is shown with detailed optical signal-to-noise ratio (OSNR) investigations. A net data rate of 5 Gbps using 64-QAM is demonstrated.




Abstract:Real-time 10,000 km transmission over a straight-line link is achieved using a software-defined multi-modulation format receiver implemented on a commercial off-the-shelf general-purpose graphics processing unit (GPU). Minimum phase 1 GBaud 4-ary quadrature amplitude modulation (QAM) signals are transmitted over 10,000 km and successfully received after detection with a Kramers-Kronig (KK) coherent receiver. 8-, 16-, 32-, and 64-QAM are successfully transmitted over 7600, 5600, 3600, and 1600 km, respectively.
Abstract:Real-time operation of a software-defined, GPU-based optical receiver is demonstrated over a 100-span straight-line optical link. Performance of minimum-phase Kramers-Kronig 4-, 8-, 16-, 32-, and 64-QAM signals are evaluated at various distances.




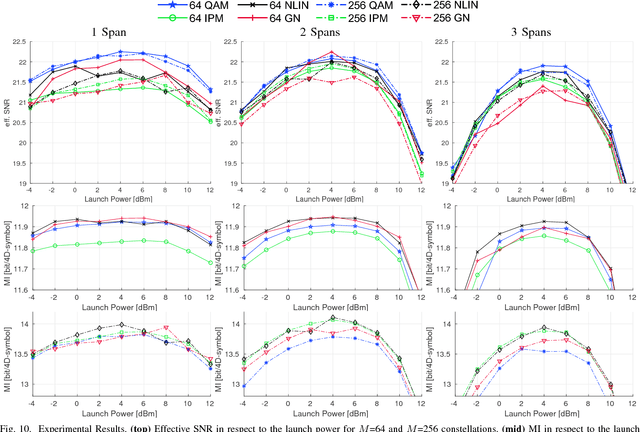
Abstract:In this paper, an unsupervised machine learning method for geometric constellation shaping is investigated. By embedding a differentiable fiber channel model within two neural networks, the learning algorithm is optimizing for a geometric constellation shape. The learned constellations yield improved performance to state-of-the-art geometrically shaped constellations, and include an implicit trade-off between amplification noise and nonlinear effects. Further, the method allows joint optimization of system parameters, such as the optimal launch power, simultaneously with the constellation shape. An experimental demonstration validates the findings. Improved performances are reported, up to 0.13 bit/4D in simulation and experimentally up to 0.12 bit/4D.