



Abstract:An inconsistent knowledge base can be abstracted as a set of arguments and a defeat relation among them. There can be more than one consistent way to evaluate such an argumentation graph. Collective argument evaluation is the problem of aggregating the opinions of multiple agents on how a given set of arguments should be evaluated. It is crucial not only to ensure that the outcome is logically consistent, but also satisfies measures of social optimality and immunity to strategic manipulation. This is because agents have their individual preferences about what the outcome ought to be. In the current paper, we analyze three previously introduced argument-based aggregation operators with respect to Pareto optimality and strategy proofness under different general classes of agent preferences. We highlight fundamental trade-offs between strategic manipulability and social optimality on one hand, and classical logical criteria on the other. Our results motivate further investigation into the relationship between social choice and argumentation theory. The results are also relevant for choosing an appropriate aggregation operator given the criteria that are considered more important, as well as the nature of agents' preferences.




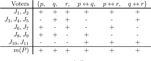
Abstract:The literature on judgment aggregation is moving from studying impossibility results regarding aggregation rules towards studying specific judgment aggregation rules. Here we give a structured list of most rules that have been proposed and studied recently in the literature, together with various properties of such rules. We first focus on the majority-preservation property, which generalizes Condorcet-consistency, and identify which of the rules satisfy it. We study the inclusion relationships that hold between the rules. Finally, we consider two forms of unanimity, monotonicity, homogeneity, and reinforcement, and we identify which of the rules satisfy these properties.