



Abstract:Inspired by the close relationship between Kolmogorov complexity and unsupervised machine learning, we explore quantum circuit complexity, an important concept in quantum computation and quantum information science, as a pivot to understand and to build interpretable and efficient unsupervised machine learning for topological order in quantum many-body systems. To span a bridge from conceptual power to practical applicability, we present two theorems that connect Nielsen's quantum circuit complexity for the quantum path planning between two arbitrary quantum many-body states with fidelity change and entanglement generation, respectively. Leveraging these connections, fidelity-based and entanglement-based similarity measures or kernels, which are more practical for implementation, are formulated. Using the two proposed kernels, numerical experiments targeting the unsupervised clustering of quantum phases of the bond-alternating XXZ spin chain, the ground state of Kitaev's toric code and random product states, are conducted, demonstrating their superior performance. Relations with classical shadow tomography and shadow kernel learning are also discussed, where the latter can be naturally derived and understood from our approach. Our results establish connections between key concepts and tools of quantum circuit computation, quantum complexity, and machine learning of topological quantum order.
Abstract:The use of machine learning to predict wave dynamics is a topic of growing interest, but commonly-used deep learning approaches suffer from a lack of interpretability of the trained models. Here we present an interpretable machine learning framework for analyzing the nonlinear evolution dynamics of optical wavepackets in complex wave media. We use sparse regression to reduce microscopic discrete lattice models to simpler effective continuum models which can accurately describe the dynamics of the wavepacket envelope. We apply our approach to valley-Hall domain walls in honeycomb photonic lattices of laser-written waveguides with Kerr-type nonlinearity and different boundary shapes. The reconstructed equations accurately reproduce the linear dispersion and nonlinear effects including self-steepening and self-focusing. This scheme is proven free of the a priori limitations imposed by the underlying hierarchy of scales traditionally employed in asymptotic analytical methods. It represents a powerful interpretable machine learning technique of interest for advancing design capabilities in photonics and framing the complex interaction-driven dynamics in various topological materials.




Abstract:We show how machine learning techniques can be applied for the classification of topological phases in leaky photonic lattices using limited measurement data. We propose an approach based solely on bulk intensity measurements, thus exempt from the need for complicated phase retrieval procedures. In particular, we design a fully connected neural network that accurately determines topological properties from the output intensity distribution in dimerized waveguide arrays with leaky channels, after propagation of a spatially localized initial excitation at a finite distance, in a setting that closely emulates realistic experimental conditions.
Abstract:Solving the ground state and the ground-state properties of quantum many-body systems is generically a hard task for classical algorithms. For a family of Hamiltonians defined on an $m$-dimensional space of physical parameters, the ground state and its properties at an arbitrary parameter configuration can be predicted via a machine learning protocol up to a prescribed prediction error $\varepsilon$, provided that a sample set (of size $N$) of the states can be efficiently prepared and measured. In a recent work [Huang et al., Science 377, eabk3333 (2022)], a rigorous guarantee for such an generalization was proved. Unfortunately, an exponential scaling, $N = m^{ {\cal{O}} \left(\frac{1}{\varepsilon} \right) }$, was found to be universal for generic gapped Hamiltonians. This result applies to the situation where the dimension of the parameter space is large while the scaling with the accuracy is not an urgent factor, not entering the realm of more precise learning and prediction. In this work, we consider an alternative scenario, where $m$ is a finite, not necessarily large constant while the scaling with the prediction error becomes the central concern. By exploiting physical constraints and positive good kernels for predicting the density matrix, we rigorously obtain an exponentially improved sample complexity, $N = \mathrm{poly} \left(\varepsilon^{-1}, n, \log \frac{1}{\delta}\right)$, where $\mathrm{poly}$ denotes a polynomial function; $n$ is the number of qubits in the system, and ($1-\delta$) is the probability of success. Moreover, if restricted to learning ground-state properties with strong locality assumptions, the number of samples can be further reduced to $N = \mathrm{poly} \left(\varepsilon^{-1}, \log \frac{n}{\delta}\right)$. This provably rigorous result represents a significant improvement and an indispensable extension of the existing work.




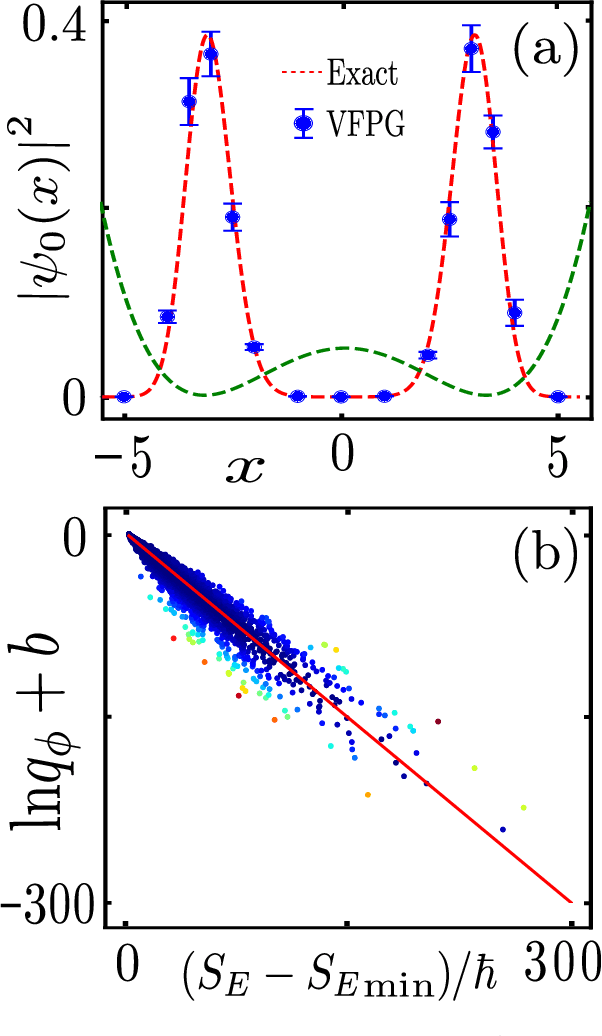
Abstract:Feynman path integrals provide an elegant, classically-inspired representation for the quantum propagator and the quantum dynamics, through summing over a huge manifold of all possible paths. From computational and simulational perspectives, the ergodic tracking of the whole path manifold is a hard problem. Machine learning can help, in an efficient manner, to identify the relevant subspace and the intrinsic structure residing at a small fraction of the vast path manifold. In this work, we propose the concept of Feynman path generator, which efficiently generates Feynman paths with fixed endpoints from a (low-dimensional) latent space, by targeting a desired density of paths in the Euclidean space-time. With such path generators, the Euclidean propagator as well as the ground state wave function can be estimated efficiently for a generic potential energy. Our work leads to a fresh approach for calculating the quantum propagator, paves the way toward generative modelling of Feynman paths, and may also provide a future new perspective to understand the quantum-classical correspondence through deep learning.




Abstract:We apply deep-neural-network-based techniques to quantum state classification and reconstruction. We demonstrate high classification accuracies and reconstruction fidelities, even in the presence of noise and with little data. Using optical quantum states as examples, we first demonstrate how convolutional neural networks (CNNs) can successfully classify several types of states distorted by, e.g., additive Gaussian noise or photon loss. We further show that a CNN trained on noisy inputs can learn to identify the most important regions in the data, which potentially can reduce the cost of tomography by guiding adaptive data collection. Secondly, we demonstrate reconstruction of quantum-state density matrices using neural networks that incorporate quantum-physics knowledge. The knowledge is implemented as custom neural-network layers that convert outputs from standard feedforward neural networks to valid descriptions of quantum states. Any standard feed-forward neural-network architecture can be adapted for quantum state tomography (QST) with our method. We present further demonstrations of our proposed [arXiv:2008.03240] QST technique with conditional generative adversarial networks (QST-CGAN). We motivate our choice of a learnable loss function within an adversarial framework by demonstrating that the QST-CGAN outperforms, across a range of scenarios, generative networks trained with standard loss functions. For pure states with additive or convolutional Gaussian noise, the QST-CGAN is able to adapt to the noise and reconstruct the underlying state. The QST-CGAN reconstructs states using up to two orders of magnitude fewer iterative steps than a standard iterative maximum likelihood (iMLE) method. Further, the QST-CGAN can reconstruct both pure and mixed states from two orders of magnitude fewer randomly chosen data points than iMLE.




Abstract:Quantum state tomography (QST) is a challenging task in intermediate-scale quantum devices. Here, we apply conditional generative adversarial networks (CGANs) to QST. In the CGAN framework, two duelling neural networks, a generator and a discriminator, learn multi-modal models from data. We augment a CGAN with custom neural-network layers that enable conversion of output from any standard neural network into a physical density matrix. To reconstruct the density matrix, the generator and discriminator networks train each other on data using standard gradient-based methods. We demonstrate that our QST-CGAN reconstructs optical quantum states with high fidelity orders of magnitude faster, and from less data, than a standard maximum-likelihood method. We also show that the QST-CGAN can reconstruct a quantum state in a single evaluation of the generator network if it has been pre-trained on similar quantum states.