Abstract:Diffusion models do not recover semantic structure uniformly over time. Instead, samples transition from semantic ambiguity to class commitment within a narrow regime. Recent theoretical work attributes this transition to dynamical instabilities along class-separating directions, but practical methods to detect and exploit these windows in trained models are still limited. We show that tracking the class-conditional entropy of a latent semantic variable given the noisy state provides a reliable signature of these transition regimes. By restricting the entropy to semantic partitions, the entropy can furthermore resolve semantic decisions at different levels of abstraction. We analyze this behavior in high-dimensional Gaussian mixture models and show that the entropy rate concentrates on the same logarithmic time scale as the speciation symmetry-breaking instability previously identified in variance-preserving diffusion. We validate our method on EDM2-XS and Stable Diffusion 1.5, where class-conditional entropy consistently isolates the noise regimes critical for semantic structure formation. Finally, we use our framework to quantify how guidance redistributes semantic information over time. Together, these results connect information-theoretic and statistical physics perspectives on diffusion and provide a principled basis for time-localized control.




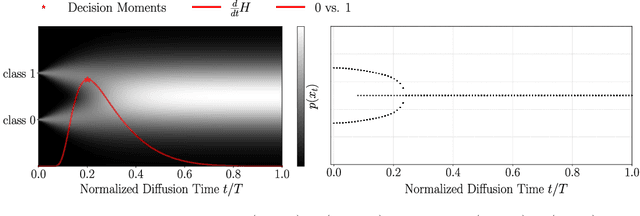
Abstract:It is well known that semantic and structural features of the generated images emerge at different times during the reverse dynamics of diffusion, a phenomenon that has been connected to physical phase transitions in magnets and other materials. In this paper, we introduce a general information-theoretic approach to measure when these class-semantic "decisions" are made during the generative process. By using an online formula for the optimal Bayesian classifier, we estimate the conditional entropy of the class label given the noisy state. We then determine the time intervals corresponding to the highest information transfer between noisy states and class labels using the time derivative of the conditional entropy. We demonstrate our method on one-dimensional Gaussian mixture models and on DDPM models trained on the CIFAR10 dataset. As expected, we find that the semantic information transfer is highest in the intermediate stages of diffusion while vanishing during the final stages. However, we found sizable differences between the entropy rate profiles of different classes, suggesting that different "semantic decisions" are located at different intermediate times.