



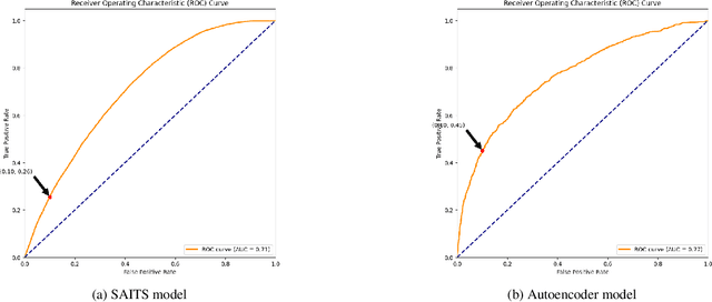
Abstract:Generative models can unintentionally memorize training data, posing significant privacy risks. This paper addresses the memorization phenomenon in time series imputation models, introducing the Loss-Based with Reference Model (LBRM) algorithm. The LBRM method leverages a reference model to enhance the accuracy of membership inference attacks, distinguishing between training and test data. Our contributions are twofold: first, we propose an innovative method to effectively extract and identify memorized training data, significantly improving detection accuracy. On average, without fine-tuning, the AUROC improved by approximately 40\%. With fine-tuning, the AUROC increased by approximately 60\%. Second, we validate our approach through membership inference attacks on two types of architectures designed for time series imputation, demonstrating the robustness and versatility of the LBRM approach in different contexts. These results highlight the significant enhancement in detection accuracy provided by the LBRM approach, addressing privacy risks in time series imputation models.