Abstract:Privacy regulations require the erasure of data from deep learning models. This is a significant challenge that is amplified in Federated Learning, where data remains on clients, making full retraining or coordinated updates often infeasible. This work introduces an efficient Federated Unlearning framework based on information theory, modeling leakage as a parameter estimation problem. Our method uses second-order Hessian information to identify and selectively reset only the parameters most sensitive to the data being forgotten, followed by minimal federated retraining. This model-agnostic approach supports categorical and client unlearning without requiring server access to raw client data after initial information aggregation. Evaluations on benchmark datasets demonstrate strong privacy (MIA success near random, categorical knowledge erased) and high performance (Normalized Accuracy against re-trained benchmarks of $\approx$ 0.9), while aiming for increased efficiency over complete retraining. Furthermore, in a targeted backdoor attack scenario, our framework effectively neutralizes the malicious trigger, restoring model integrity. This offers a practical solution for data forgetting in FL.
Abstract:We study inventory control policies for pharmaceutical supply chains, addressing challenges such as perishability, yield uncertainty, and non-stationary demand, combined with batching constraints, lead times, and lost sales. Collaborating with Bristol-Myers Squibb (BMS), we develop a realistic case study incorporating these factors and benchmark three policies--order-up-to (OUT), projected inventory level (PIL), and deep reinforcement learning (DRL) using the proximal policy optimization (PPO) algorithm--against a BMS baseline based on human expertise. We derive and validate bounds-based procedures for optimizing OUT and PIL policy parameters and propose a methodology for estimating projected inventory levels, which are also integrated into the DRL policy with demand forecasts to improve decision-making under non-stationarity. Compared to a human-driven policy, which avoids lost sales through higher holding costs, all three implemented policies achieve lower average costs but exhibit greater cost variability. While PIL demonstrates robust and consistent performance, OUT struggles under high lost sales costs, and PPO excels in complex and variable scenarios but requires significant computational effort. The findings suggest that while DRL shows potential, it does not outperform classical policies in all numerical experiments, highlighting 1) the need to integrate diverse policies to manage pharmaceutical challenges effectively, based on the current state-of-the-art, and 2) that practical problems in this domain seem to lack a single policy class that yields universally acceptable performance.
Abstract:Causality is receiving increasing attention by the artificial intelligence and machine learning communities. This paper gives an example of modelling a recommender system problem using causal graphs. Specifically, we approached the causal discovery task to learn a causal graph by combining observational data from an open-source dataset with prior knowledge. The resulting causal graph shows that only a few variables effectively influence the analysed feedback signals. This contrasts with the recent trend in the machine learning community to include more and more variables in massive models, such as neural networks.



Abstract:Over the last decades, many prognostic models based on artificial intelligence techniques have been used to provide detailed predictions in healthcare. Unfortunately, the real-world observational data used to train and validate these models are almost always affected by biases that can strongly impact the outcomes validity: two examples are values missing not-at-random and selection bias. Addressing them is a key element in achieving transportability and in studying the causal relationships that are critical in clinical decision making, going beyond simpler statistical approaches based on probabilistic association. In this context, we propose a novel approach that combines selection diagrams, missingness graphs, causal discovery and prior knowledge into a single graphical model to estimate the cardiovascular risk of adolescent and young females who survived breast cancer. We learn this model from data comprising two different cohorts of patients. The resulting causal network model is validated by expert clinicians in terms of risk assessment, accuracy and explainability, and provides a prognostic model that outperforms competing machine learning methods.




Abstract:Interacting systems of events may exhibit cascading behavior where events tend to be temporally clustered. While the cascades themselves may be obvious from the data, it is important to understand which states of the system trigger them. For this purpose, we propose a modeling framework based on continuous-time Bayesian networks (CTBNs) to analyze cascading behavior in complex systems. This framework allows us to describe how events propagate through the system and to identify likely sentry states, that is, system states that may lead to imminent cascading behavior. Moreover, CTBNs have a simple graphical representation and provide interpretable outputs, both of which are important when communicating with domain experts. We also develop new methods for knowledge extraction from CTBNs and we apply the proposed methodology to a data set of alarms in a large industrial system.
Abstract:Understanding the laws that govern a phenomenon is the core of scientific progress. This is especially true when the goal is to model the interplay between different aspects in a causal fashion. Indeed, causal inference itself is specifically designed to quantify the underlying relationships that connect a cause to its effect. Causal discovery is a branch of the broader field of causality in which causal graphs is recovered from data (whenever possible), enabling the identification and estimation of causal effects. In this paper, we explore recent advancements in a unified manner, provide a consistent overview of existing algorithms developed under different settings, report useful tools and data, present real-world applications to understand why and how these methods can be fruitfully exploited.


Abstract:Causal inference for testing clinical hypotheses from observational data presents many difficulties because the underlying data-generating model and the associated causal graph are not usually available. Furthermore, observational data may contain missing values, which impact the recovery of the causal graph by causal discovery algorithms: a crucial issue often ignored in clinical studies. In this work, we use data from a multi-centric study on endometrial cancer to analyze the impact of different missingness mechanisms on the recovered causal graph. This is achieved by extending state-of-the-art causal discovery algorithms to exploit expert knowledge without sacrificing theoretical soundness. We validate the recovered graph with expert physicians, showing that our approach finds clinically-relevant solutions. Finally, we discuss the goodness of fit of our graph and its consistency from a clinical decision-making perspective using graphical separation to validate causal pathways.




Abstract:Assessing the pre-operative risk of lymph node metastases in endometrial cancer patients is a complex and challenging task. In principle, machine learning and deep learning models are flexible and expressive enough to capture the dynamics of clinical risk assessment. However, in this setting we are limited to observational data with quality issues, missing values, small sample size and high dimensionality: we cannot reliably learn such models from limited observational data with these sources of bias. Instead, we choose to learn a causal Bayesian network to mitigate the issues above and to leverage the prior knowledge on endometrial cancer available from clinicians and physicians. We introduce a causal discovery algorithm for causal Bayesian networks based on bootstrap resampling, as opposed to the single imputation used in related works. Moreover, we include a context variable to evaluate whether selection bias results in learning spurious associations. Finally, we discuss the strengths and limitations of our findings in light of the presence of missing data that may be missing-not-at-random, which is common in real-world clinical settings.




Abstract:This paper leverages recent developments in reinforcement learning and deep learning to solve the supply chain inventory management problem, a complex sequential decision-making problem consisting of determining the optimal quantity of products to produce and ship to different warehouses over a given time horizon. A mathematical formulation of the stochastic two-echelon supply chain environment is given, which allows an arbitrary number of warehouses and product types to be managed. Additionally, an open-source library that interfaces with deep reinforcement learning algorithms is developed and made publicly available for solving the inventory management problem. Performances achieved by state-of-the-art deep reinforcement learning algorithms are compared through a rich set of numerical experiments on synthetically generated data. The experimental plan is designed and performed, including different structures, topologies, demands, capacities, and costs of the supply chain. Results show that the PPO algorithm adapts very well to different characteristics of the environment. The VPG algorithm almost always converges to a local maximum, even if it typically achieves an acceptable performance level. Finally, A3C is the fastest algorithm, but just like the VPG, it never achieves the best performance when compared to PPO. In conclusion, numerical experiments show that deep reinforcement learning performs consistently better than standard inventory management strategies, such as the static (s, Q)-policy. Thus, it can be considered a practical and effective option for solving real-world instances of the stochastic two-echelon supply chain problem.




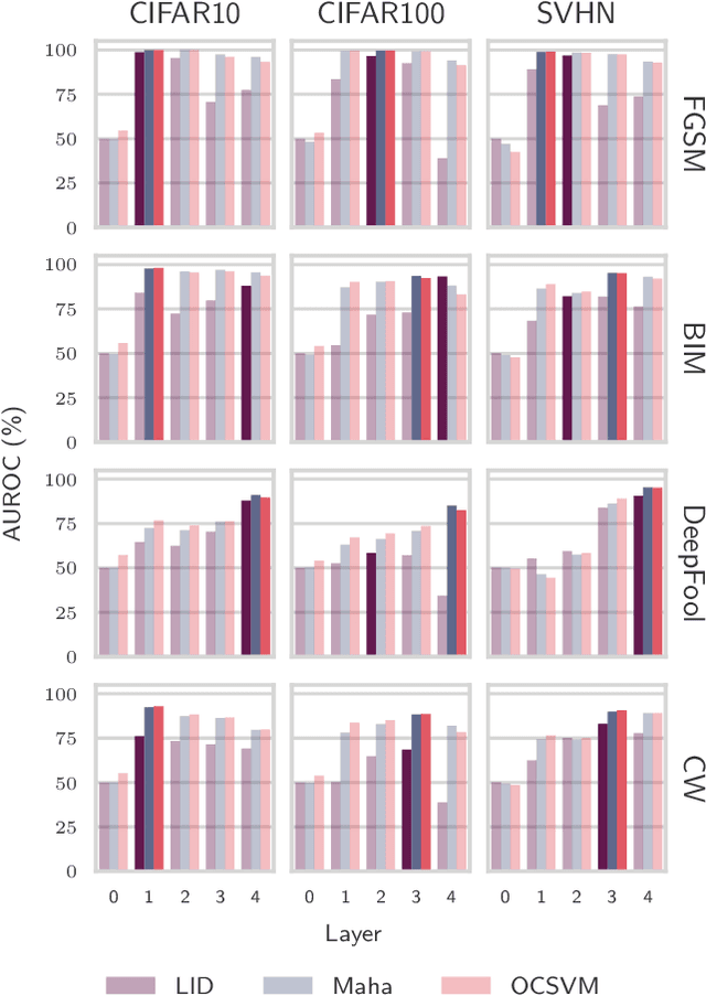
Abstract:One of the key challenges in Deep Learning is the definition of effective strategies for the detection of adversarial examples. To this end, we propose a novel approach named Ensemble Adversarial Detector (EAD) for the identification of adversarial examples, in a standard multiclass classification scenario. EAD combines multiple detectors that exploit distinct properties of the input instances in the internal representation of a pre-trained Deep Neural Network (DNN). Specifically, EAD integrates the state-of-the-art detectors based on Mahalanobis distance and on Local Intrinsic Dimensionality (LID) with a newly introduced method based on One-class Support Vector Machines (OSVMs). Although all constituting methods assume that the greater the distance of a test instance from the set of correctly classified training instances, the higher its probability to be an adversarial example, they differ in the way such distance is computed. In order to exploit the effectiveness of the different methods in capturing distinct properties of data distributions and, accordingly, efficiently tackle the trade-off between generalization and overfitting, EAD employs detector-specific distance scores as features of a logistic regression classifier, after independent hyperparameters optimization. We evaluated the EAD approach on distinct datasets (CIFAR-10, CIFAR-100 and SVHN) and models (ResNet and DenseNet) and with regard to four adversarial attacks (FGSM, BIM, DeepFool and CW), also by comparing with competing approaches. Overall, we show that EAD achieves the best AUROC and AUPR in the large majority of the settings and comparable performance in the others. The improvement over the state-of-the-art, and the possibility to easily extend EAD to include any arbitrary set of detectors, pave the way to a widespread adoption of ensemble approaches in the broad field of adversarial example detection.