Abstract:Machine unlearning (MUL) is introduced as a means to achieve interference cancellation within artificial intelligence (AI)-enabled wireless systems. It is observed that interference cancellation with MUL demonstrates $30\%$ improvement in a classification task accuracy in the presence of a corrupted AI model. Accordingly, the necessity for instantaneous channel state information for existing interference source is eliminated and a corrupted latent space with interference noise is cleansed with MUL algorithm, achieving this without the necessity for either retraining or dataset cleansing. A Membership Interference Attack (MIA) served as a benchmark for assessing the efficacy of MUL in mitigating interference within a neural network model. The advantage of the MUL algorithm was determined by evaluating both the probability of interference and the quantity of samples requiring retraining. In a simple signal-to-noise ratio classification task, the comprehensive improvement across various test cases in terms of accuracy demonstrates that MUL exhibits extensive capabilities and limitations, particularly in native AI applications.




Abstract:Interplanetary links (IPL) serve as crucial enablers for space exploration, facilitating secure and adaptable space missions. An integrated IPL with inter-satellite communication (IP-ISL) establishes a unified deep space network, expanding coverage and reducing atmospheric losses. The challenges, including irregularities in charged density, hardware impairments, and hidden celestial body brightness are analyzed with a reflectarray-based IP-ISL between Earth and Moon orbiters. It is observed that $10^{-8}$ order severe hardware impairments with intense solar plasma density drops an ideal system's spectral efficiency (SE) from $\sim\!38~\textrm{(bit/s)/Hz}$ down to $0~\textrm{(bit/s)/Hz}$. An ideal full angle of arrival fluctuation recovery with full steering range achieves $\sim\!20~\textrm{(bit/s)/Hz}$ gain and a limited beamsteering with a numerical reflectarray design achieves at least $\sim\!1~\textrm{(bit/s)/Hz}$ gain in severe hardware impairment cases.
Abstract:A precise incident wave angle estimation in aerial communication is a key enabler in sixth-generation wireless communication network. With this goal, a generic 3-dimensional (3D) channel model is analyzed for air-to-air (A2A) networks under antenna misalignment, radio frequency impairments and polarization loss. The unique aspects of each aerial node are highlighted and the few-shot learning as a model agnostic meta-learning (MAML) classifier is proposed for learning-to-learn (L2L) incident wave angle estimation by utilizing the received signal strength (RSS). Additionally, a more computationally efficient technique, first order model agnostic meta-learning (FOMAML) is implemented. It has been observed that the proposed approach reaches up to 85% training accuracy and 75.4% evaluation accuracy with MAML. Regarding this, a convergence rate and accuracy trade-off have been established for several cases of MAML and FOMAML. For different L2L models trained with limited data, heuristic accuracy performance is determined by an upper bound of the probability of confidence.




Abstract:The use of sub-Terahertz (sub-THz) band is gaining considerable attention in 6G networks. In this study, we introduce hardware and propagation integrated 3D Propagation Model to describe sub-THz channels and discuss its advantages over both deterministic and stochastic 6G channel models. The unexplored mutuality of localization and communication is presented and its potential in integrated sensing and communication (ISAC) applications is highlighted. Afterward, a real-time sub-THz localization experiment is conducted to show the impact of the mispositioned and misaligned narrow beams on service quality. In continuation, we highlight the most current challenges and developments in THz localization and explore the potential of sub-THz frequencies to efficiently utilize the ultra-wideband spectrum. In the end, the open issues that need to be overcome to provide high spatial resolution and millidegree-level angle of arrival estimation in ISAC applications have been explored.




Abstract:This study investigates an experimental software defined radio (SDR) implementation on 180 GHz. Rate scarcity and frequency sparsity are discussed as hardware bottlenecks. Experimental challenges are explained along with the derived system model of such a cascaded structure. Multiple error metrics for the terahertz (THz) signal are acquired, and various case scenarios are subsequently compared. The SDR-THz testbed reaches 3.2 Mbps with < 1 degree skew error. The use of a reflector plate can fine-tune the frequency error and gain imbalance in the expense of at least 14.91 dB signal-to-noise ratio. The results demonstrate the complete feasibility of SDR-based baseband signal generation in THz communication, revealing abundant opportunities to overcome hardware limitations in experimental research.




Abstract:An important task in the field of sensor technology is the efficient implementation of adaptation procedures of measurements from one sensor to another sensor of identical design. One idea is to use the estimation of an affine transformation between different systems, which can be improved by the knowledge of experts. This paper presents an improved solution from Glacier Research that was published back in 1973. It is shown that this solution can be adapted for software calibration of sensors, implementation of expert-based adaptation, and federated learning methods. We evaluate our research with simulations and also with real measured data of a multi-sensor board with 8 identical sensors. The results show an improvement for both the simulation and the experiments with real data.
Abstract:Connected autonomous vehicles (CAV) constitute an important application of future-oriented traffic management .A vehicular system dominated by fully autonomous vehicles requires a robust and efficient vehicle-to-everything (V2X) infrastructure that will provide sturdy connection of vehicles in both short and long distances for a large number of devices, requiring high spectral efficiency (SE). Power domain non-orthogonal multiple access (PD-NOMA) technique has the potential to provide the required high SE levels. In this paper, a vehicular PD-NOMA testbed is implemented using software defined radio (SDR) nodes. The main concerns and their corresponding solutions arising from the implementation are highlighted. The bit error rates(BER) of vehicles with different channel conditions are measured for mobile and stationary cases. The extent of the estimation errors on the success rate beyond the idealized theoretical analysis view is investigated and the approaches to alleviate these errors are discussed. Finally, our perspective on possible PD-NOMA based CAV deployment scenarios is presented in terms of performance constraints and expectancy along with the overlooked open issues.




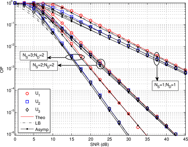
Abstract:In this paper, the performance of a power domain downlink multiple-input multiple-output non-orthogonal multiple access system in dual-hop full-duplex (FD) relaying networks is investigated over Nakagami-$m$ fading channels by considering the channel estimation error and feedback delay. Particularly, in the investigated system, the base station equipped with multiple antennas transmits information to all mobile users by applying conventional transmit antenna selection/Alamouti-space-time block coding scheme with the help of a dedicated FD amplify-and-forward relay. The received signals at mobile users are combined according to maximal-ratio combining technique to exploit benefits of receive diversity. In order to demonstrate the superiority of the proposed system, outage probability (OP) is investigated and tight lower bound expressions are derived for the obtained OP. Moreover, asymptotic analyses are also conducted for ideal and practical conditions to provide further insights about the outage behavior in the high signal-to-noise ratio region. Finally, theoretical analyses are validated via Monte Carlo simulations and software defined radio based test-bed implementation.




Abstract:This paper analyzes the performance of maximum-ratio transmission (MRT)/maximum-ratio combining (MRC) scheme in a dual-hop non-orthogonal multiple access (NOMA) full-duplex (FD) relay networks in the presence of residual hardware impairments (RHIs). The effects of channel estimation errors (CEEs) and imperfect successive interference cancellation are also considered for a realistic performance analysis. In the network, the base station and multiple users utilize MRT and MRC, respectively, while a dedicated relay consisting of two antennas, one for receiving and the other for broadcasting, operates in amplify-and-forward mode. For performance criterion, exact outage probability (OP) expression is derived for Nakagami-m fading channels. Furthermore, a tight lower bound and asymptotic expressions are also derived to provide more insights into the obtained OP in terms of diversity order and array gain. The obtained numerical results demonstrate the importance of loop-interference cancellation process at FD relay in order for the investigated system to perform better than half-duplex-NOMA counterpart. Also, a performance trade-off between the MRT and MRC schemes is observed in the presence of CEEs among users. Furthermore, it is shown that RHIs have a significant effect on the performance of users with lower power coefficients, however it does not change the diversity order. RHIs and CEEs have the most and least deterioration effects on the system performance, respectively.