



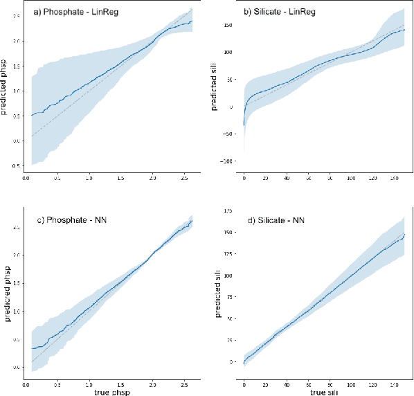
Abstract:The Biogeochemical-Argo (BGC-Argo) program is building a network of globally distributed, sensor-equipped robotic profiling floats, improving our understanding of the climate system and how it is changing. These floats, however, are limited in the number of variables measured. In this study, we train neural networks to predict silicate and phosphate values in the Southern Ocean from temperature, pressure, salinity, oxygen, nitrate, and location and apply these models to earth system model (ESM) and BGC-Argo data to expand the utility of this ocean observation network. We trained our neural networks on observations from the Global Ocean Ship-Based Hydrographic Investigations Program (GO-SHIP) and use dropout regularization to provide uncertainty bounds around our predicted values. Our neural network significantly improves upon linear regression but shows variable levels of uncertainty across the ranges of predicted variables. We explore the generalization of our estimators to test data outside our training distribution from both ESM and BGC-Argo data. Our use of out-of-distribution test data to examine shifts in biogeochemical parameters and calculate uncertainty bounds around estimates advance the state-of-the-art in oceanographic data and climate monitoring. We make our data and code publicly available.