



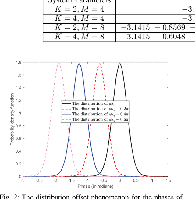
Abstract:Intelligent reflecting surface (IRS) has been recognized as a powerful technology for boosting communication performance. To reduce manufacturing and control costs, it is preferable to consider discrete phase shifts (DPSs) for IRS, which are set by default as uniformly distributed in the range of $[ - \pi,\pi )$ in the literature. Such setting, however, cannot achieve a desirable performance over the general Rician fading where the channel phase concentrates in a narrow range with a higher probability. Motivated by this drawback, we in this paper design optimal non-uniform DPSs for IRS to achieve a desirable performance level. The fundamental challenge is the \textit{possible offset in phase distribution across different cascaded source-element-destination channels}, if adopting conventional IRS where the position of each element is fixed. Such phenomenon leads to different patterns of optimal non-uniform DPSs for each IRS element and thus causes huge manufacturing costs especially when the number of IRS elements is large. Driven by the recently emerging fluid antenna system (or movable antenna technology), we demonstrate that if the position of each IRS element can be flexibly adjusted, the above phase distribution offset can be surprisingly eliminated, leading to the same pattern of DPSs for each IRS element. Armed with this, we then determine the form of unified non-uniform DPSs based on a low-complexity iterative algorithm. Simulations show that our proposed design significantly improves the system performance compared to competitive benchmarks.