Abstract:In this paper, we study a new kind of pilot contamination appearing in multi-operator reconfigurable intelligent surfaces (RIS) assisted networks, where multiple operators provide services to their respective served users. The operators use dedicated frequency bands, but each RIS inadvertently reflects the transmitted uplink signals of the user equipment devices in multiple bands. Consequently, the concurrent reflection of pilot signals during the channel estimation phase introduces a new inter-operator pilot contamination effect. We investigate the implications of this effect in systems with either deterministic or correlated Rayleigh fading channels, specifically focusing on its impact on channel estimation quality, signal equalization, and channel capacity. The numerical results demonstrate the substantial degradation in system performance caused by this phenomenon and highlight the pressing need to address inter-operator pilot contamination in multi-operator RIS deployments. To combat the negative effect of this new type of pilot contamination, we propose to use orthogonal RIS configurations during uplink pilot transmission, which can mitigate or eliminate the negative effect of inter-operator pilot contamination at the expense of some inter-operator information exchange and orchestration.




Abstract:In this paper, we study the impact of pilot contamination in a system where two operators serve their respective users with the assistance of two wide-band reconfigurable intelligent surfaces (RIS), each belonging to a single operator. We consider one active user per operator and they use disjoint narrow frequency bands. Although each RIS is dedicated to a single operator, both users' transmissions are reflected by both RISs. We show that this creates a new kind of pilot contamination effect when pilots are transmitted simultaneously. Since combating inter-operator pilot contamination in RIS-assisted networks would require long pilot signal sequences to maintain orthogonality among the users of different operators, we propose the orthogonal configurations of the RISs. Numerical results show that this approach completely eliminates pilot contamination, and significantly improves the performance in terms of channel estimation and equalization by removing the channel estimation bias.




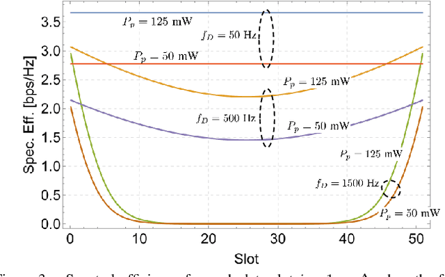
Abstract:In the uplink of multiuser multiple input multiple output (MU-MIMO) systems operating over aging channels, pilot spacing is crucial for acquiring channel state information and achieving high signal-to-interference-plus-noise ratio (SINR). Somewhat surprisingly, very few works examine the impact of pilot spacing on the correlation structure of subsequent channel estimates and the resulting quality of channel state information considering channel aging. In this paper, we consider a fast-fading environment characterized by its exponentially decaying autocorrelation function, and model pilot spacing as a sampling problem to capture the inherent trade-off between the quality of channel state information and the number of symbols available for information carrying data symbols. We first establish a quasi-closed form for the achievable asymptotic deterministic equivalent SINR when the channel estimation algorithm utilizes multiple pilot signals. Next, we establish upper bounds on the achievable SINR and spectral efficiency, as a function of pilot spacing, which helps to find the optimum pilot spacing within a limited search space. Our key insight is that to maximize the achievable SINR and the spectral efficiency of MU-MIMO systems, proper pilot spacing must be applied to control the impact of the aging channel and to tune the trade-off between pilot and data symbols.