Abstract:Heterogeneity within data distribution poses a challenge in many modern federated learning tasks. We formalize it as an optimization problem involving a computationally heavy composite under data similarity. By employing different sets of assumptions, we present several approaches to develop communication-efficient methods. An optimal algorithm is proposed for the convex case. The constructed theory is validated through a series of experiments across various problems.




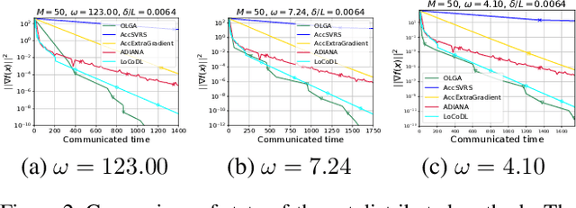
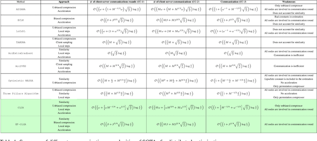
Abstract:In recent years, as data and problem sizes have increased, distributed learning has become an essential tool for training high-performance models. However, the communication bottleneck, especially for high-dimensional data, is a challenge. Several techniques have been developed to overcome this problem. These include communication compression and implementation of local steps, which work particularly well when there is similarity of local data samples. In this paper, we study the synergy of these approaches for efficient distributed optimization. We propose the first theoretically grounded accelerated algorithms utilizing unbiased and biased compression under data similarity, leveraging variance reduction and error feedback frameworks. Our results are of record and confirmed by experiments on different average losses and datasets.
Abstract:Modern realities and trends in learning require more and more generalization ability of models, which leads to an increase in both models and training sample size. It is already difficult to solve such tasks in a single device mode. This is the reason why distributed and federated learning approaches are becoming more popular every day. Distributed computing involves communication between devices, which requires solving two key problems: efficiency and privacy. One of the most well-known approaches to combat communication costs is to exploit the similarity of local data. Both Hessian similarity and homogeneous gradients have been studied in the literature, but separately. In this paper, we combine both of these assumptions in analyzing a new method that incorporates the ideas of using data similarity and clients sampling. Moreover, to address privacy concerns, we apply the technique of additional noise and analyze its impact on the convergence of the proposed method. The theory is confirmed by training on real datasets.