



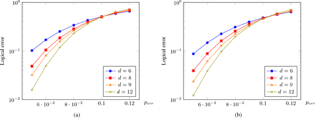
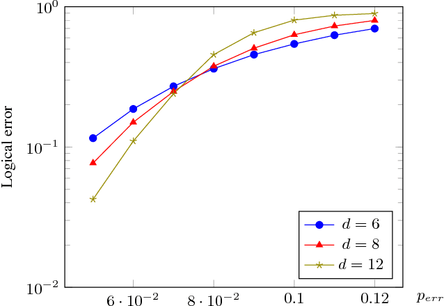
Abstract:Recent developments in the field of deep learning have motivated many researchers to apply these methods to problems in quantum information. Torlai and Melko first proposed a decoder for surface codes based on neural networks. Since then, many other researchers have applied neural networks to study a variety of problems in the context of decoding. An important development in this regard was due to Varsamopoulos et al. who proposed a two-step decoder using neural networks. Subsequent work of Maskara et al. used the same concept for decoding for various noise models. We propose a similar two-step neural decoder using inverse parity-check matrix for topological color codes. We show that it outperforms the state-of-the-art performance of non-neural decoders for independent Pauli errors noise model on a 2D hexagonal color code. Our final decoder is independent of the noise model and achieves a threshold of $10 \%$. Our result is comparable to the recent work on neural decoder for quantum error correction by Maskara et al.. It appears that our decoder has significant advantages with respect to training cost and complexity of the network for higher lengths when compared to that of Maskara et al.. Our proposed method can also be extended to arbitrary dimension and other stabilizer codes.