



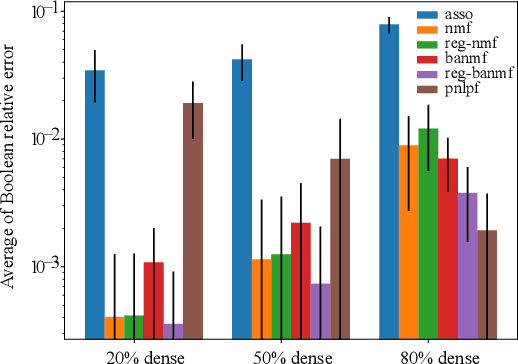
Abstract:A novel approach to Boolean matrix factorization (BMF) is presented. Instead of solving the BMF problem directly, this approach solves a nonnegative optimization problem with the constraint over an auxiliary matrix whose Boolean structure is identical to the initial Boolean data. Then the solution of the nonnegative auxiliary optimization problem is thresholded to provide a solution for the BMF problem. We provide the proofs for the equivalencies of the two solution spaces under the existence of an exact solution. Moreover, the nonincreasing property of the algorithm is also proven. Experiments on synthetic and real datasets are conducted to show the effectiveness and complexity of the algorithm compared to other current methods.